Poslední aktualizace :
18/03/2026
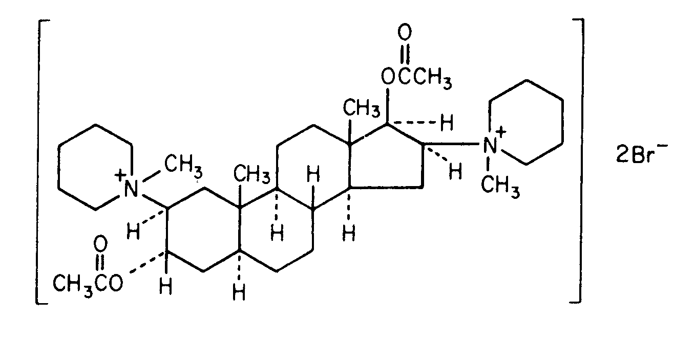
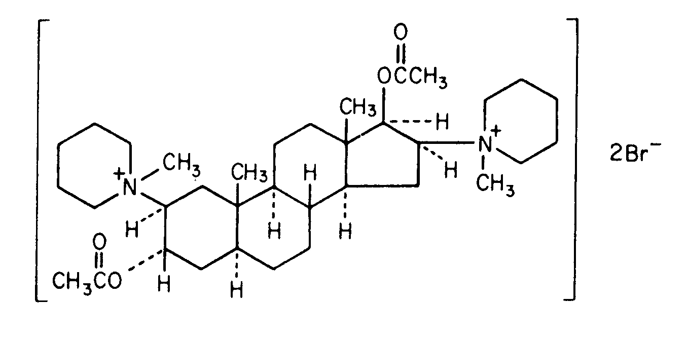
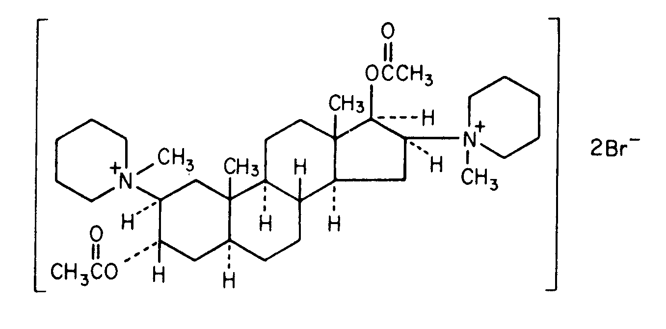
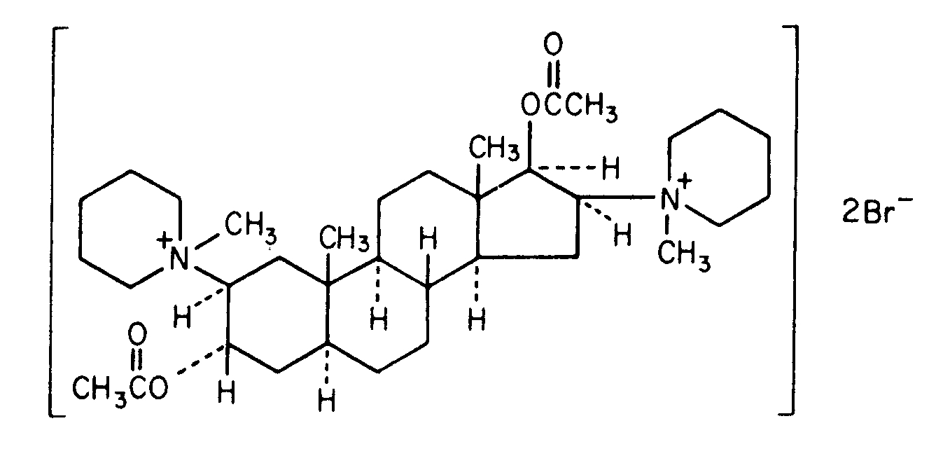
Kuraremimetický   Pancuronium bromide  
injekce
Stabilita roztoků Stabilita směsí Faktory ovlivňující stabilitu Kompatibilita Způsoby aplikace Odkazy pdf
   Chemický vzorec  

Obchodní název   Obchodní název     

Trade names are indicative and excipients composition can be different depending on the country and manufacturers

Pancuronium bromide injection Kanada, USA

Faktory ovlivňující stabilitu   injekce   Faktory ovlivňující stabilitu : Pancuronium bromide        
žádná data

  Mentions Légales