Pēdējā atjaunošana :
18/03/2026
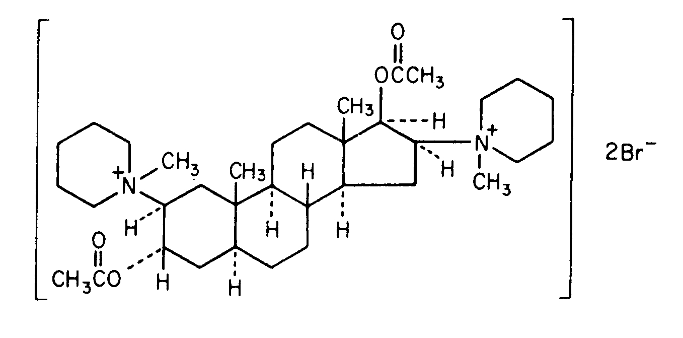
Kurarīnmimētiķis   Pancuronium bromide  
Injekcija
Šķīduma stabilitāte Maisījuma stabilitāte Stabilitāti ietekmējoši faktori Saderība Levadīšanas veids Literatūras saraksts pdf
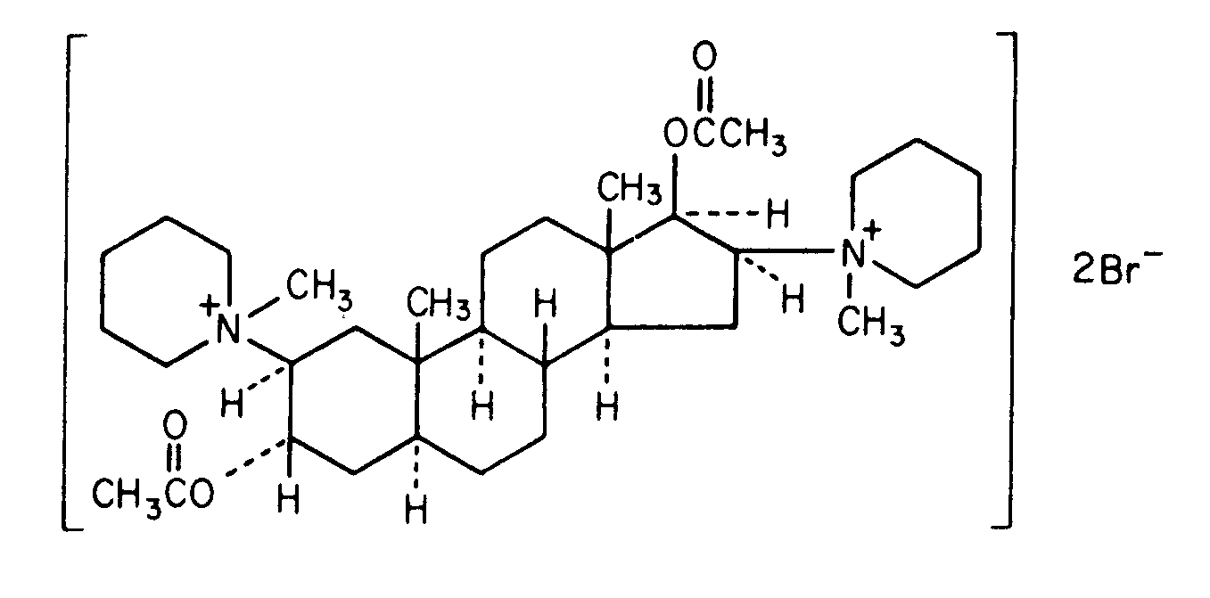
   Ķīmiskā uzbūve   

Oriģinālais nosaukums   Oriģinālais nosaukums     

Tirdzniecības nosaukumi ir apzīmējoši un palīgvielas var atšķirties dažādām valstīm un laboratorijām

Pancuronium bromide injection Amerikas Savienotās Valstis, Kanāda

Stabilitāti ietekmējoši faktori   Injekcija   Stabilitāti ietekmējoši faktori : Pancuronium bromide        
Nav datu

  Mentions Légales