Poslední aktualizace :
18/03/2026
Kurarimimetikas   Pancuronium bromide  
Įpurškimas
Tirpalų stabilumas Mišinių stabilumas Stabilumą lemiantys veiksniai Suderinamumas Leidimo būdai Bibliografija pdf
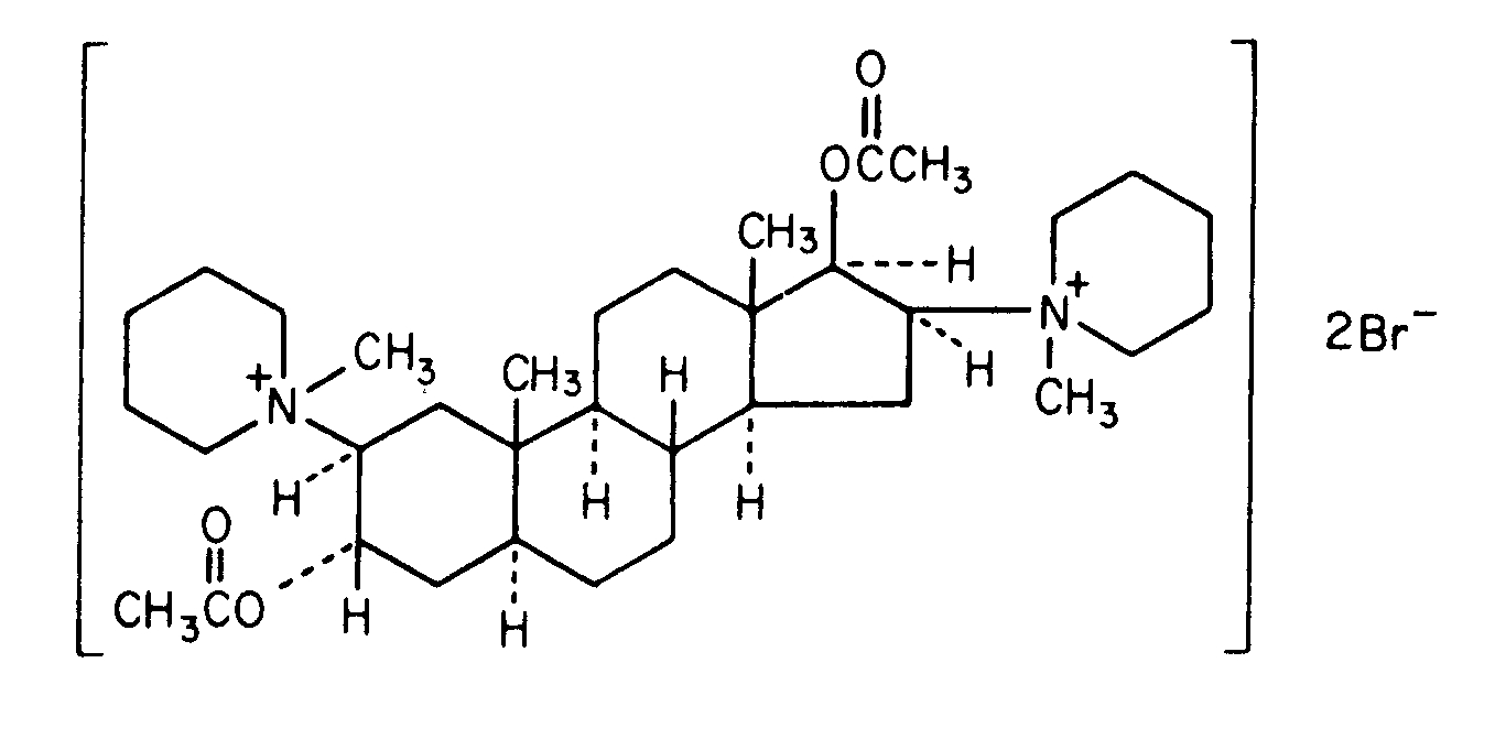
   Cheminė sandara  

Prekinis pavadinimas   Prekinis pavadinimas     

Trade names are indicative and excipients composition can be different depending on the country and manufacturers

Pancuronium bromide injection Jungtinės Amerikos Valstijos, Kanada

Stabilumą lemiantys veiksniai   Įpurškimas   Stabilumą lemiantys veiksniai : Pancuronium bromide        
Nėra duomenų

  Mentions Légales