Ultimo aggiornamento :
18/03/2026
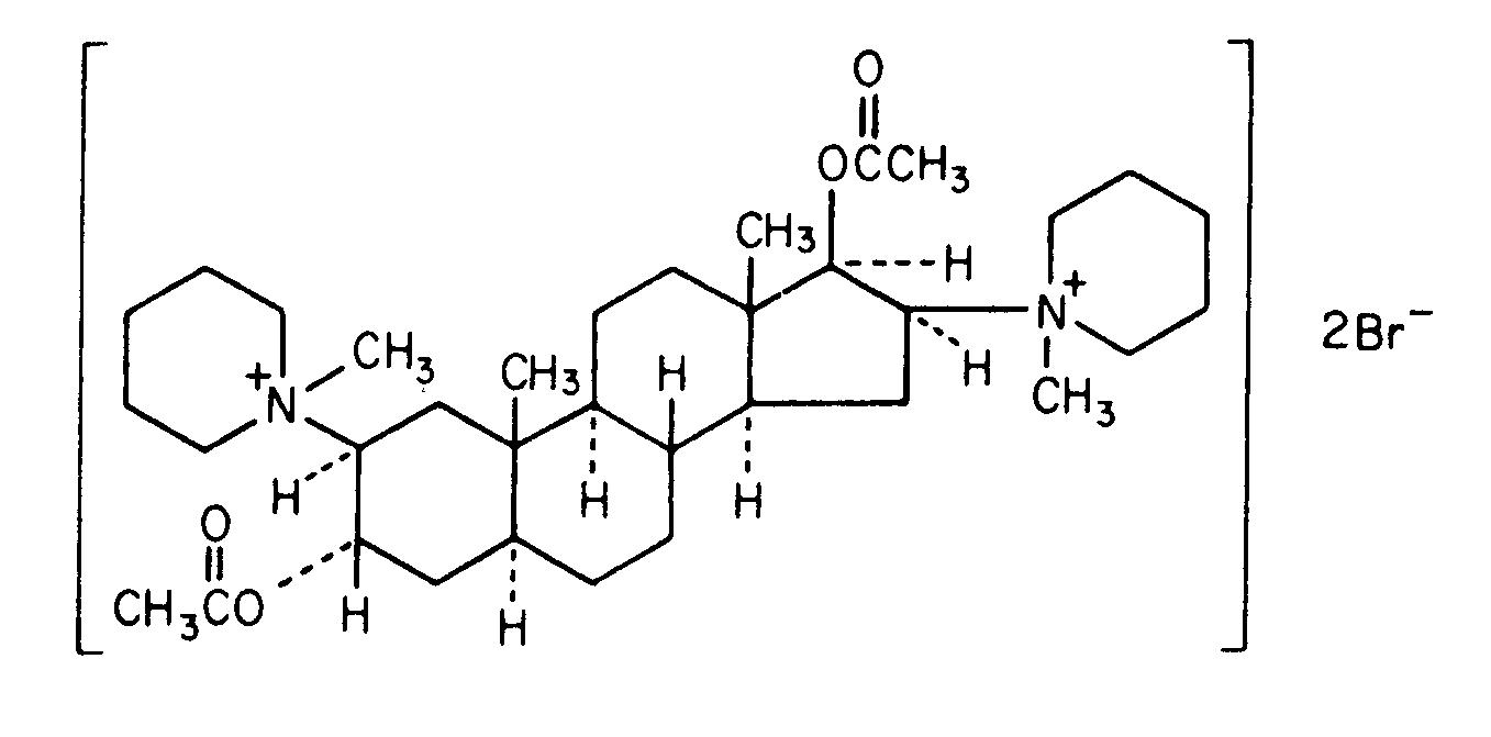
Curarizzante   Pancuronium bromide  
Iniezione
Stabilità in soluzione Stabilità in miscela Fattori che influenzano la stabilità Compatibilità metodo di iniezione Bibliografia pdf
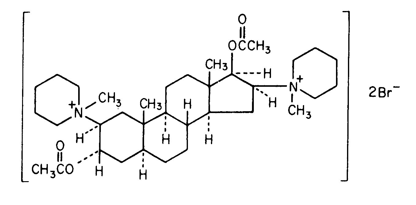
   Struttura chimica  

Nome commerciale   Nome commerciale     

Trade names are indicative and excipients composition can be different depending on the country and manufacturers

Pancuronium bromide injection Canada, Stati Uniti d’America

Fattori che influenzano la stabilità   Iniezione   Fattori che influenzano la stabilità : Pancuronium bromide        
Assenza di dati

  Mentions Légales