Senaste uppdateringen :
31/03/2026
Antibiotikum   Spiramycine adipate  
injektion
Lösningars stabilitet Stabilitet i blandningar Faktorer som påverkar stabiliteten Kompatibilitet Administreringssätt Hänvisningar pdf
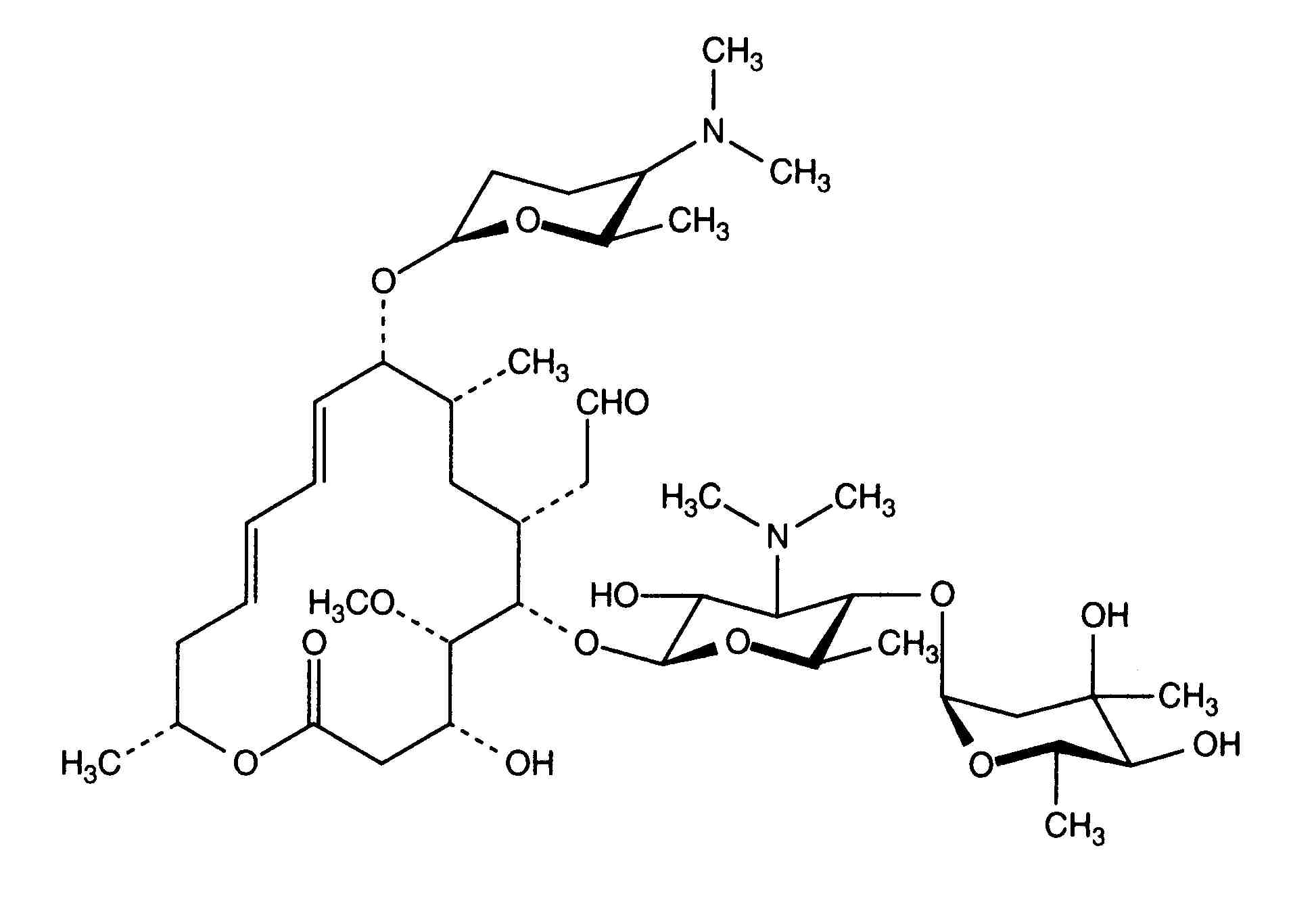
   Molekylstruktur  

Varunamn   Varunamn     

Angivna handelsnamn på läkemedel är enbart vägledande då formulering inklusive hjälpämnen kan variera mellan länder och tillverkare

Rovamycine Frankrike, Polen
Lösningars stabilitet   injektion   Lösningars stabilitet : Spiramycine adipate     
Behållare Lösningsmedel Koncentration Temperatur Förvaring Stabilitets varaktighet Hänvisningar
Glas Vatten för injektion 0.375 MUI/ml ? Ej angiven
12 Timma
3563
Tillverkarens stabilitetsuppgifter


  Mentions Légales