Laatste update :
31/03/2026
Antibioticum   Spiramycine adipate  
injecteerbaar geneesmiddel
Stabiliteit in oplossing Stabiliteit in mengsels Factoren die de stabiliteit beïnvloeden Verenigbaarheden Toedieningswijze Literatuur pdf
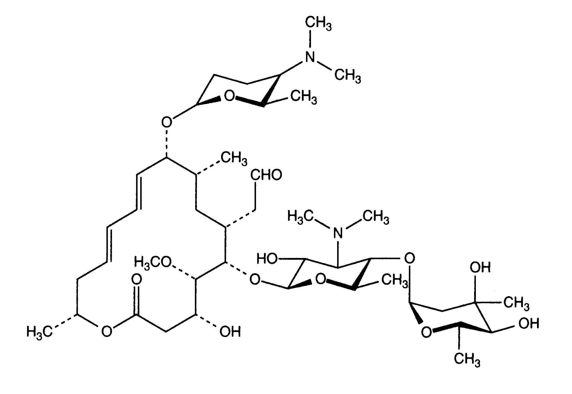
   Molecuulstructuur  

Merknamen in verschillende landen   Merknamen in verschillende landen     

Handelsnamen zijn slechts een indicatie; de samenstelling van hulpstoffen kan per land variëren afhankelijk van de fabrikant

Rovamycine Frankrijk, Polen
Stabiliteit in oplossing   injecteerbaar geneesmiddel   Stabiliteit in oplossing : Spiramycine adipate     
Verpakking Oplosmiddel Concentratie Temperatuur Bewaring Duur van de stabiliteit Literatuur
Glas Water voor injectie 0.375 MUI/ml ? Niet gespecificeerd
12 Uur
3563
Stabiliteitsgegevens van de fabrikant


  Mentions Légales