zadnja posodobitev :
31/03/2026
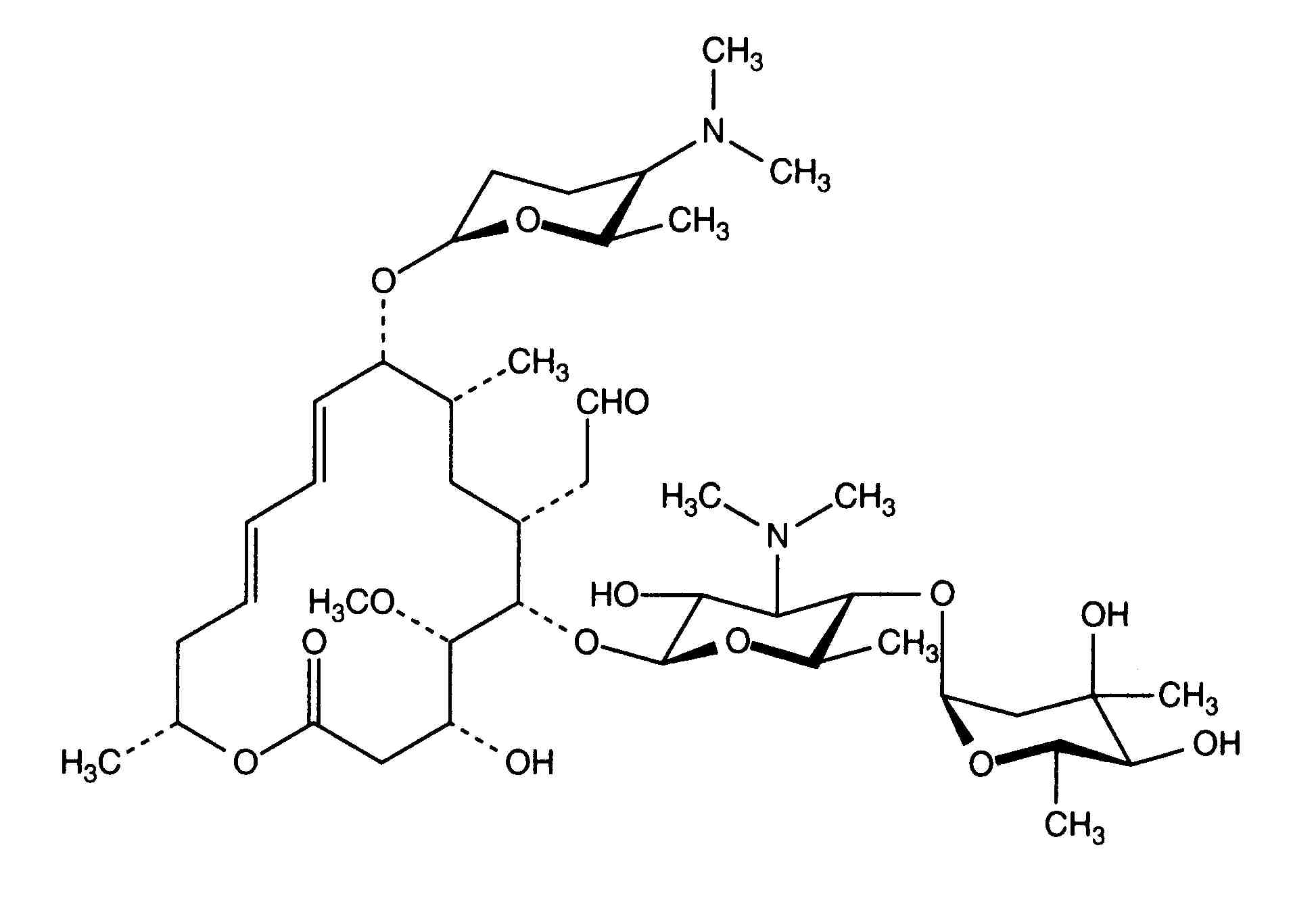
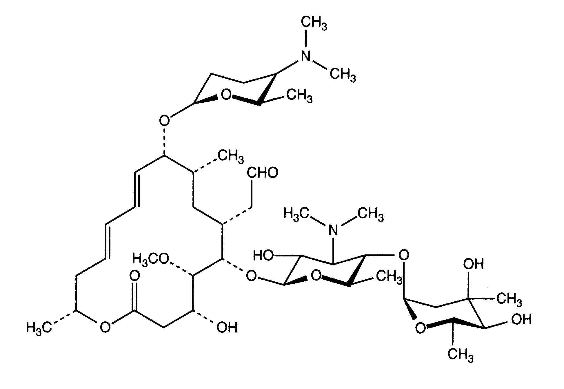
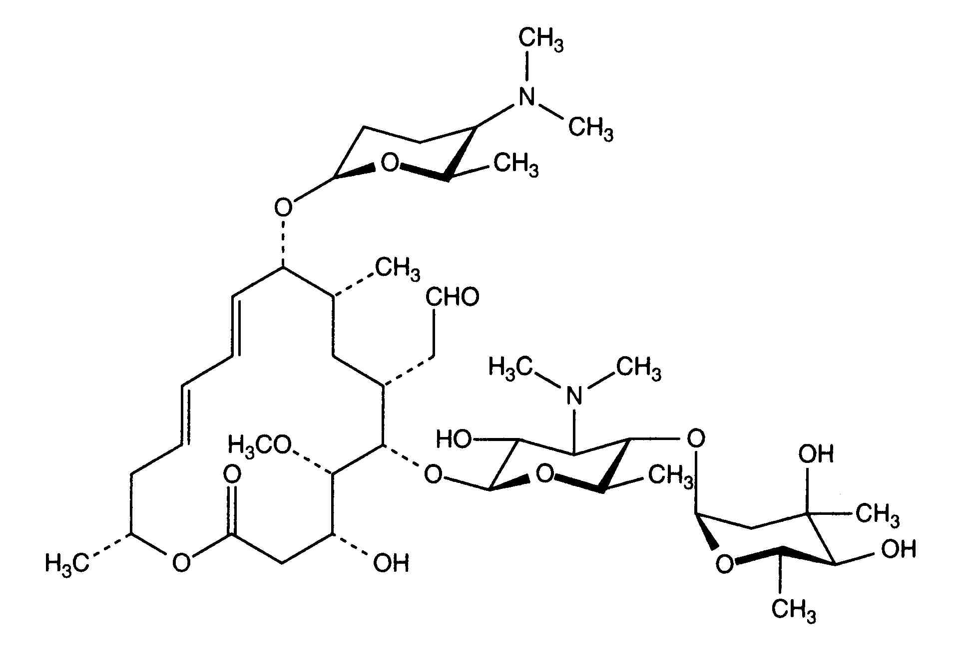
Antibiotik   Spiramycine adipate  
Brizgalka
Stabilnost raztopine Stabilnost mešanice Faktorji, ki vplivajo na stabilnost Kompatibilnost način aplikacije Viri pdf
   Kemična formula  

Lastniško ime   Lastniško ime     

Sestava pomožnih snovi je med paralelami lahko različna

Rovamycine Francija, Poljska
Stabilnost raztopine   Brizgalka   Stabilnost raztopine : Spiramycine adipate     
Vsebnik Topilo Koncentracija Temperatura Shranjevanje Trajanje stabilnosti Viri
Steklo Voda za injekcije 0.375 MUI/ml ? Nedoločeno
12 čas
3563
Podatki stabilnosti proizvajalca


  Mentions Légales