Ultimo aggiornamento :
31/03/2026
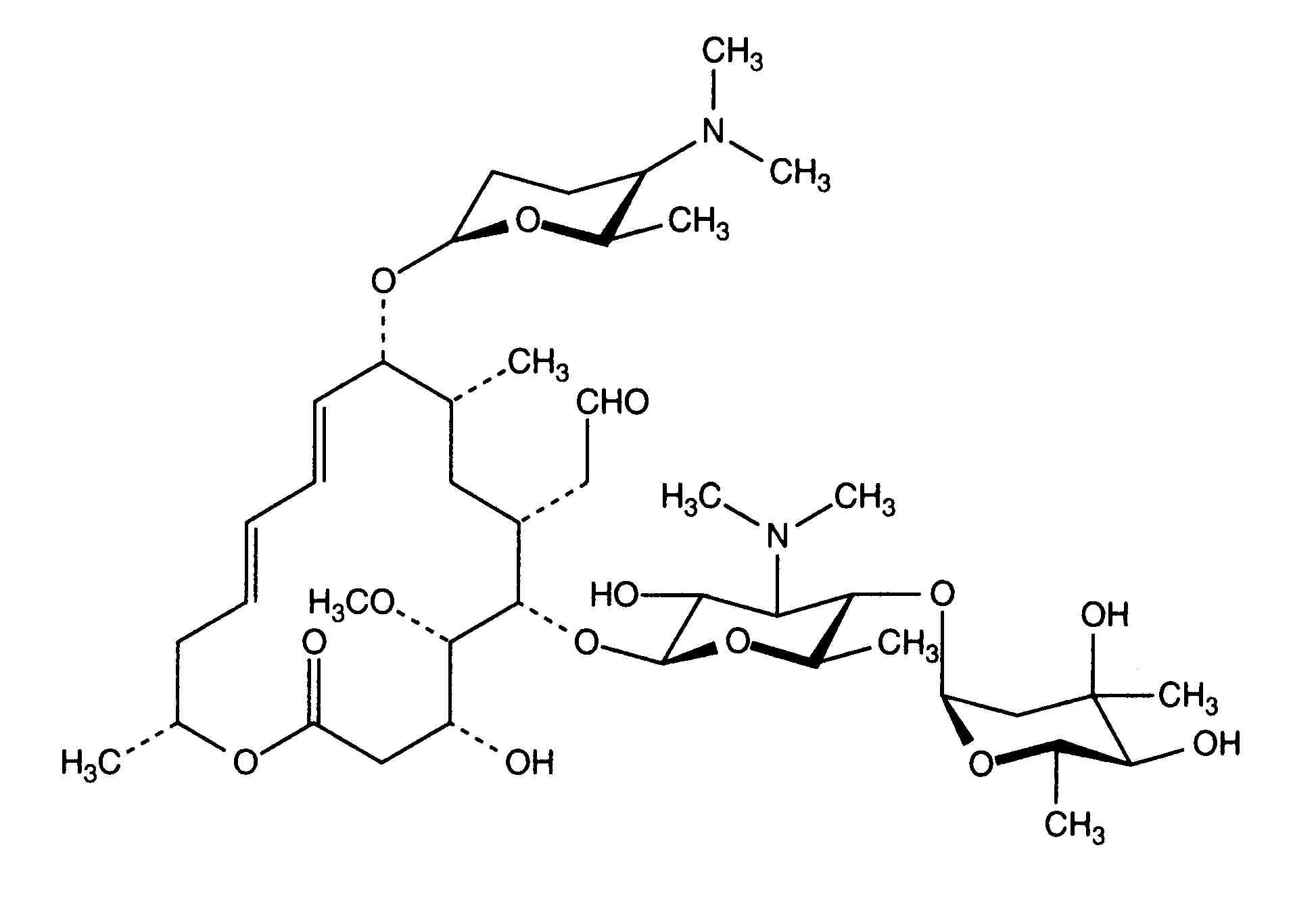
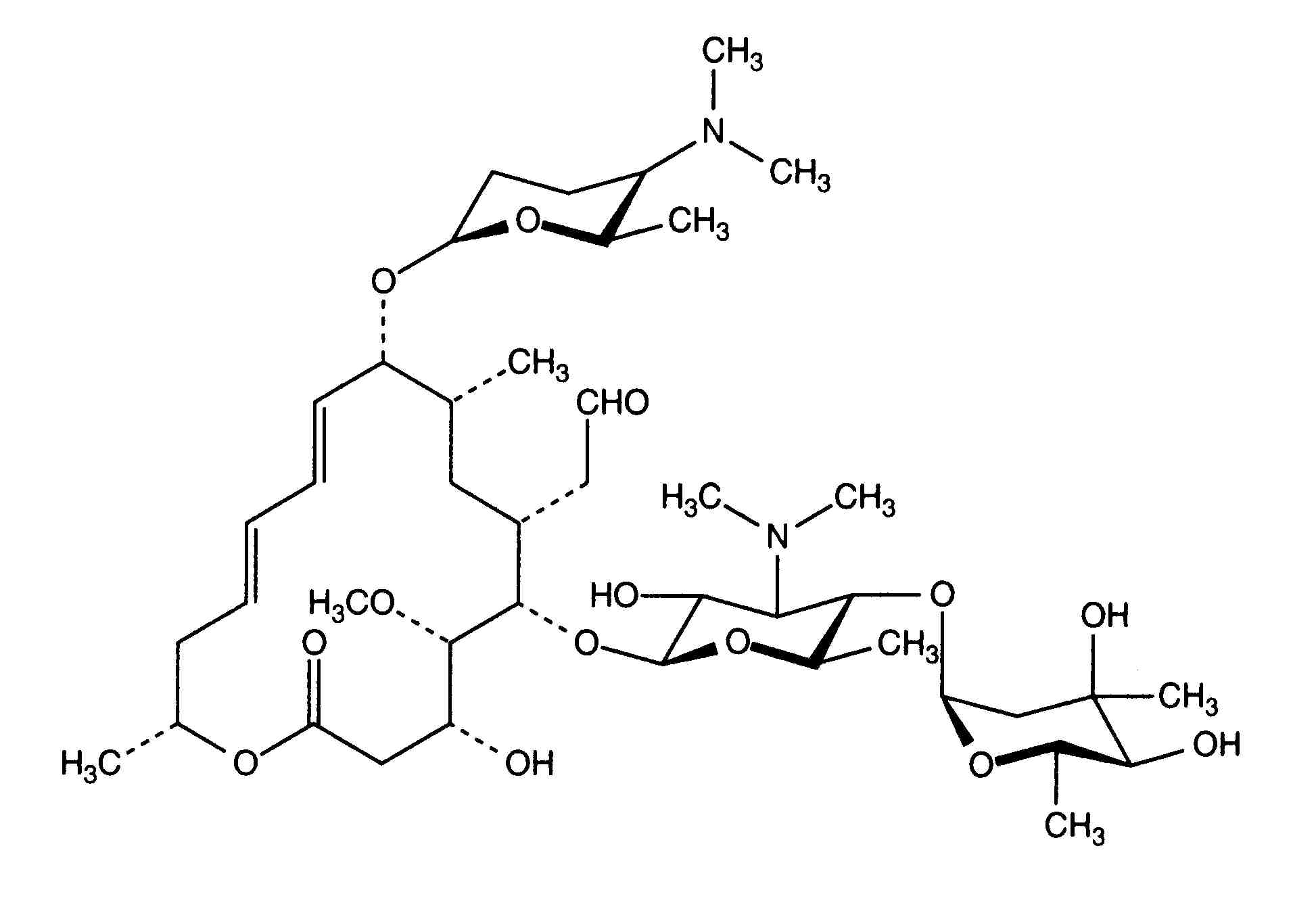
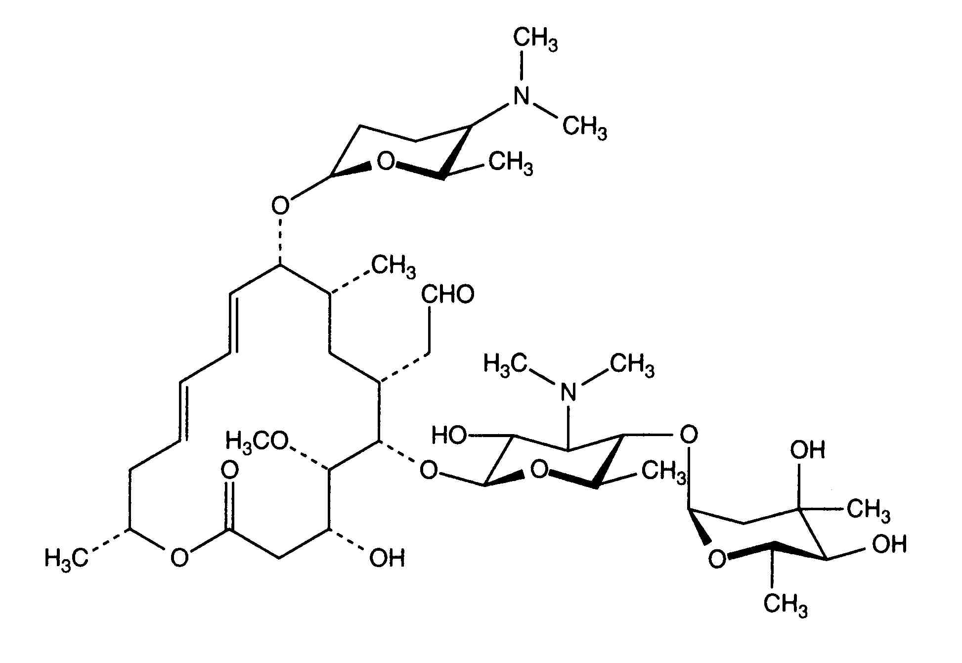
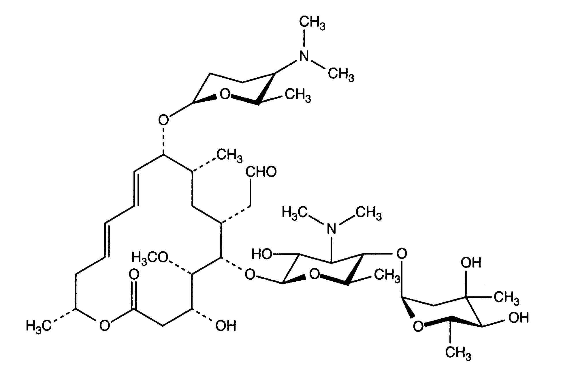
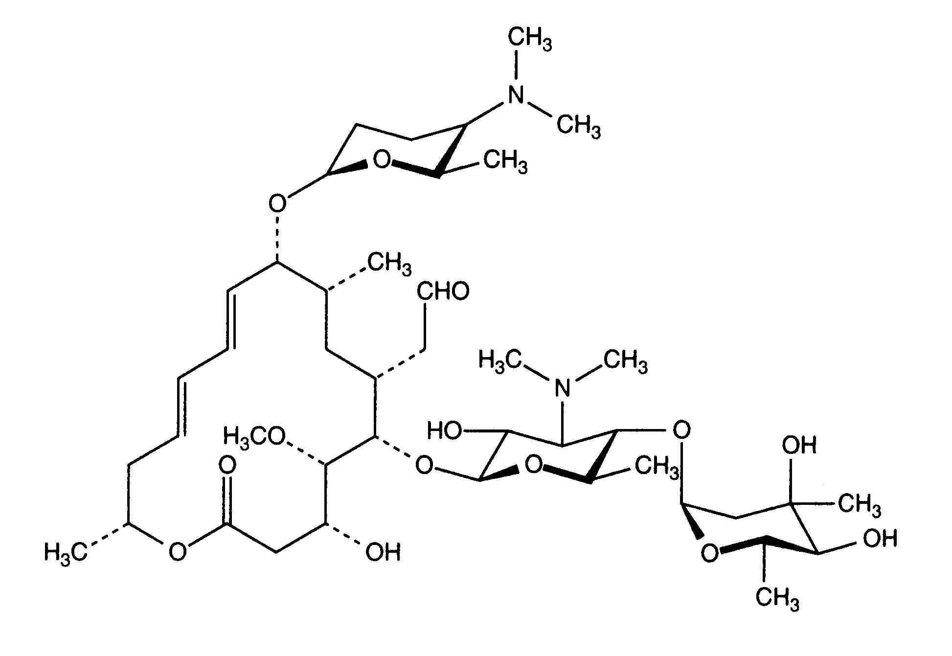
Antibiotico   Spiramycine adipate  
Iniezione
Stabilità in soluzione Stabilità in miscela Fattori che influenzano la stabilità Compatibilità metodo di iniezione Bibliografia pdf
   Struttura chimica  

Nome commerciale   Nome commerciale     

Trade names are indicative and excipients composition can be different depending on the country and manufacturers

Rovamycine Francia, Polonia
Stabilità in soluzione   Iniezione   Stabilità in soluzione : Spiramycine adipate     
contenitore Solvente Concentrazione Temperatura Conservazione Durata della stabilità Bibliografia
Vetro Acqua per preparato iniettabile 0.375 MUI/ml ? Non precisata
12 Ora
3563
Dati di stabilità del produttore


  Mentions Légales