Poslední aktualizace :
31/03/2026
Antibiotikas   Spiramycine adipate  
Įpurškimas
Tirpalų stabilumas Mišinių stabilumas Stabilumą lemiantys veiksniai Suderinamumas Leidimo būdai Bibliografija pdf
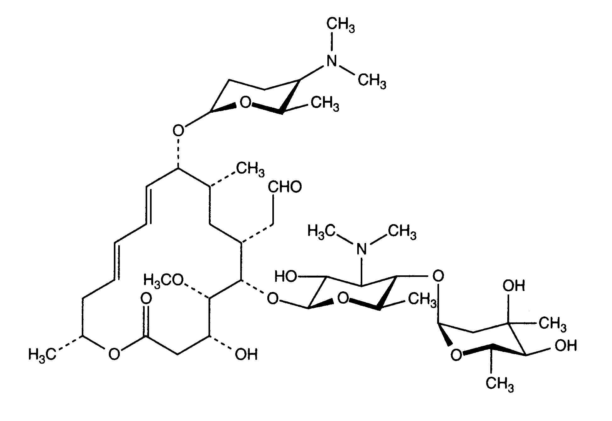
   Cheminė sandara  

Prekinis pavadinimas   Prekinis pavadinimas     

Trade names are indicative and excipients composition can be different depending on the country and manufacturers

Rovamycine Lenkija, Prancūzija
Tirpalų stabilumas   Įpurškimas   Tirpalų stabilumas : Spiramycine adipate     
Pakuotė Tirpiklis Koncentracija Temperatūra Laikymas Stabilumo trukmė Nuorodos
Stiklas Vanduo injekcijoms 0.375 MUI/ml ? Nenurodyta
12 Valanda
3563
Gamintojo stabilumo duomenys


  Mentions Légales