Τελευταία ενημέρωση :
31/03/2026
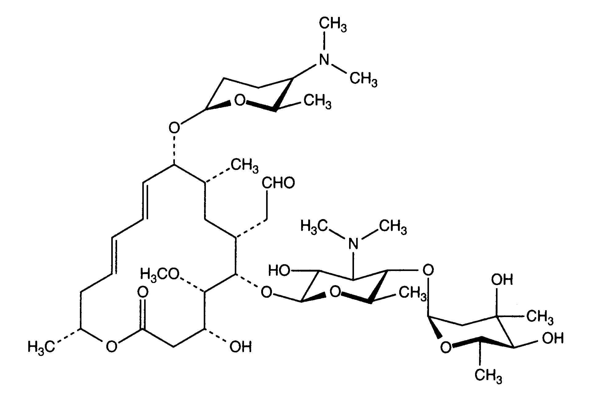
Αντιβιοτικό   Spiramycine adipate  
Ενέσιμο
Σταθερότητα διαλυμάτων Σταθερότητα σε μίγματα Παράγοντας που επηρεάζει τη σταθερότητα Συμβατότητες Τρόπος χορήγησης Βιβλιογραφία pdf
   χημική δομή  

Εμπορική ονομασία   Εμπορική ονομασία     

Οι εμπορικές ονομασίες είναι ενδεικτικές και η σύνθεση των εκδόχων μπορεί να διαφέρει ανάλογα με τη χώρα και τα εργαστήρια

Rovamycine Γαλλία, Πολωνία
Σταθερότητα διαλυμάτων   Ενέσιμο   Σταθερότητα διαλυμάτων : Spiramycine adipate     
Υποδοχέας Διαλυτικό Συγκέντρωση Θερμοκρασία Αποθήκευση Διάρκεια σταθερότητας Βιβλιογραφία
Ύαλος Ενέσιμο ύδωρ 0.375 MUI/ml ? Απροσδιόριστο
12 Ώρα
3563
Δεδομένα σταθερότητας του κατασκευαστή/ών


  Mentions Légales