Utolsó frissítés :
31/03/2026
Antibiotikum   Spiramycine adipate  
Injekció
Az oldatok stabilitása A keverékek stabilitása Stabilitást befolyásoló tényezők Kompatibilitás Az alkalmazás módja Irodalom pdf
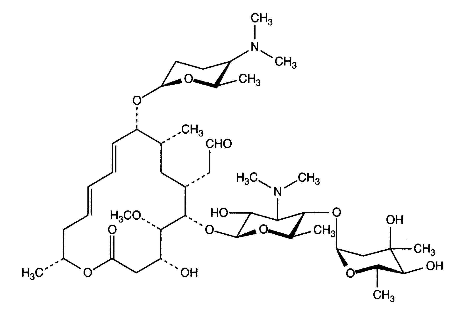
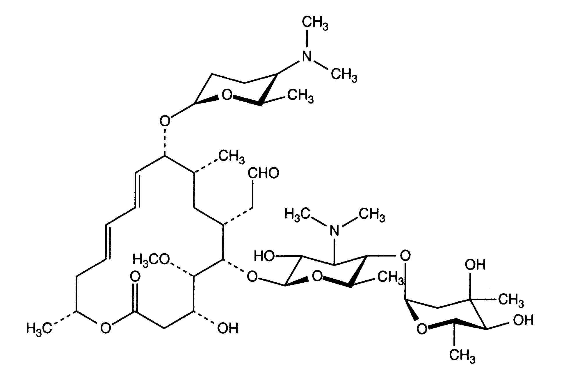
   Kémiai szerkezet   

Kereskedelmi név   Kereskedelmi név     

A kereskedelmi név meghatározó jelentőségű: a készítmények összetétele országonként, előállítóként eltérő lehet

Rovamycine Franciaország, Lengyelország
Az oldatok stabilitása   Injekció   Az oldatok stabilitása : Spiramycine adipate     
Csomagolás Oldószer Koncentráció Hőmérséklet Tárolás A stabilitás időtartama Irodalom
Üveg Injekcióhoz való víz 0.375 MUI/ml ? Nincs meghatározva
12 Óra
3563
Gyártó stabilitási adatokra


  Mentions Légales