Последно актуализиране :
31/03/2026
Антибиотик   Spiramycine adipate  
Инжекция/Инжекционен
Стабилност на разтвори Стабилност на смеси Фактори, повлияващи стабилността Съвместимост Път на въвеждане Библиография Pdf
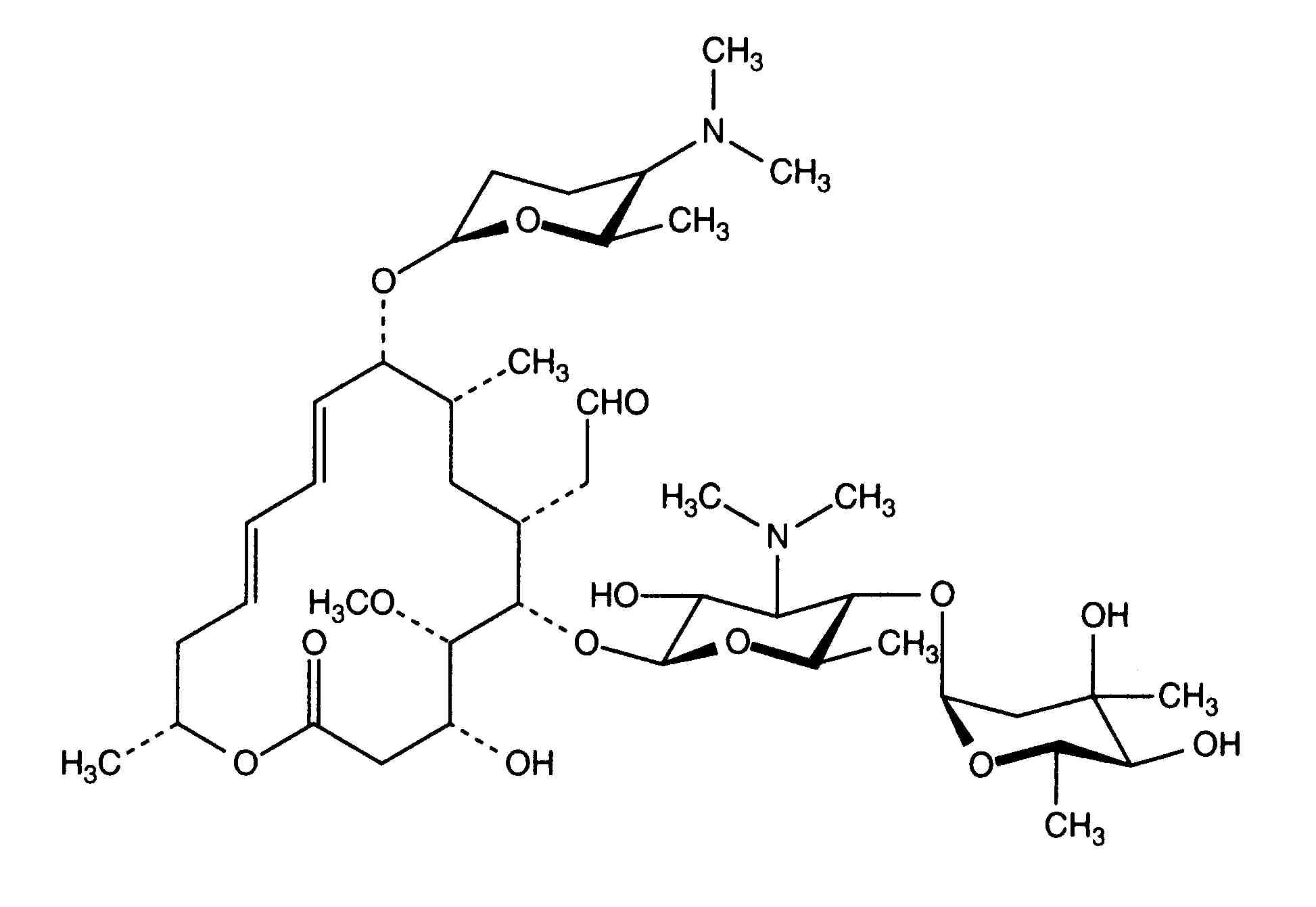
   Химична структура  

Търговско наименование   Търговско наименование     

Търговските имена са примерни и съставът на помощните вещества може да бъде различен в зависимост от държавата и лабораториите

Rovamycine Полша, Франция
Стабилност на разтвори   Инжекция/Инжекционен   Стабилност на разтвори : Spiramycine adipate     
Контейнер Разтворител Концентрация Температура Съхранение Продължителност на стабилността Библиография
Стъкло Вода за инжекции 0.375 MUI/ml ? Не е уточнено
12 Час
3563
Данни за стабилност на производителя


  Mentions Légales