Τελευταία ενημέρωση :
18/03/2026
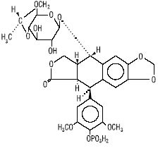
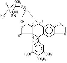
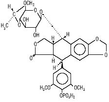
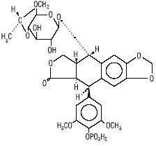
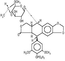
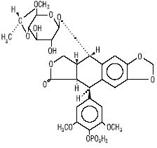
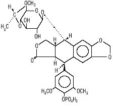
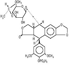
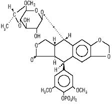
φάρμακο κατά του καρκίνου   Etoposide phosphate  
Ενέσιμο
Σταθερότητα διαλυμάτων Σταθερότητα σε μίγματα Παράγοντας που επηρεάζει τη σταθερότητα Συμβατότητες Τρόπος χορήγησης Βιβλιογραφία pdf
   χημική δομή  

Εμπορική ονομασία   Εμπορική ονομασία     

Οι εμπορικές ονομασίες είναι ενδεικτικές και η σύνθεση των εκδόχων μπορεί να διαφέρει ανάλογα με τη χώρα και τα εργαστήρια

Etopofos Αυστρία, Ελλάδα, Σουηδία
Etopophos Βέλγιο, Βουλγαρία, Γαλλία, Γερμανία, Ελβετία, Η.Π.Α., Ισραήλ, Λουξεμβούργο, Μεγάλη Βρετανία, νέα Ζηλανδία, Ολλανδία, Πολωνία
Τρόπος χορήγησης   Τρόπος χορήγησης :Etoposide phosphate     
Voie
Ενδοφλέβια
Ενδοφλέβια έκχυση

  Mentions Légales