Poslední aktualizace :
18/03/2026
rakovina drog   Etoposide phosphate  
injekce
Stabilita roztoků Stabilita směsí Faktory ovlivňující stabilitu Kompatibilita Způsoby aplikace Odkazy pdf
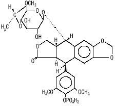
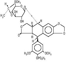
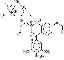
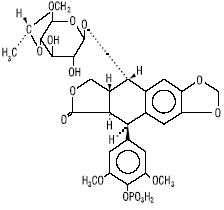
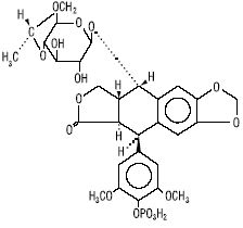
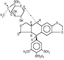
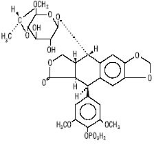
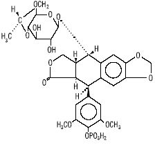
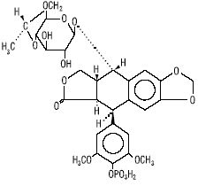
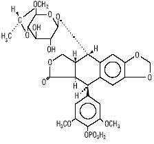
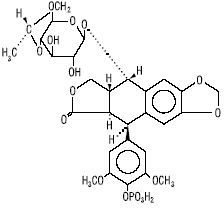
   Chemický vzorec  

Obchodní název   Obchodní název     

Trade names are indicative and excipients composition can be different depending on the country and manufacturers

Etopofos Rakousko, Švédsko, ÿecko
Etopophos Belgie, Bulharsko, Francie, Izrael, Lucembursko, NÏmecko, Nizozemsko, nový Zéland, Polsko, Švýcarsko, USA, Velká Británie
Způsoby aplikace   Způsoby aplikace :Etoposide phosphate     
Voie
intravenÛznÏ
Intravenózní infúze

  Mentions Légales