Letztes “update” :
18/03/2026
Antikrebsmittel   Etoposide phosphate  
Injektion
Stabilität der Lösung Gemengestabilität Stabilitätbeeinflussende Faktoren Kompatibilitäten Applikationsart Literaturverzeichnis pdf
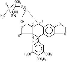
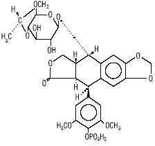
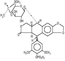
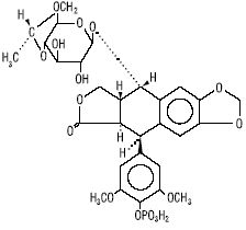
   Chemische Struktur  

Handelsmarke   Handelsmarke     

Handelsnamen sind als beispielhaft anzusehen. Sonstige Bestandteile können je nach Hersteller oder Land verschieden sein

Etopofos Griechenland, Österreich, Schweden
Etopophos Belgien, Bulgarien, Deutschland, Frankreich, Großbritannien, Israel, Luxemburg, Neuseeland, Niederlande, Polen, Schweiz, Vereinigte Staaten von Amerika
Applikationsart   Applikationsart :Etoposide phosphate     
Verabreichung
Intravenös
Intravenöse Perfusion

  Mentions Légales