آخر تحديث :
18/03/2026
المضادة للسرطان المخدرات   Etoposide phosphate  
حقن
الاستقرار في حلول استقرار مخاليط العوامل التي تؤثر على الاستقرار التوافق طريقة التعاطي مراجع pdf
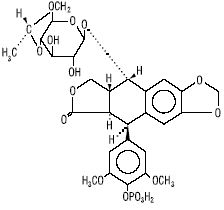
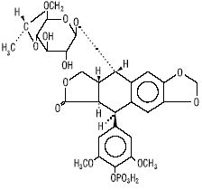
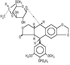
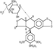
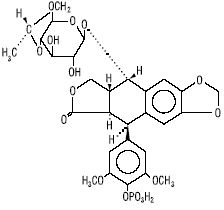
   التركيب الكيميائي  

حجز الاسم التجاري   حجز الاسم التجاري     

تحذير الأسماء التجاريه المختلفه قد تحتوي علي محتوي إضافات مختلفة حسب الدوله و المعمل

Etopofos السويد, النمسا, يونان
Etopophos ألمانيا, الكيان الصهيوني, الولايات المتحدة, بريطانيا العظمي, بلجيكا, بلغاريا, بولندا, زيلاندا الجديدة, سويسرا, فرنسا, لوكسمبورغ, هولندا
طريقة التعاطي   طريقة التعاطي :Etoposide phosphate     
Voie
وريدي
الحقن الوريدي   المستمر

  Mentions Légales