Viimeisin päivitys :
18/03/2026
syöpälääke   Etoposide phosphate  
Injektioneste
Stabilius liuoksessa Stabilius seoksissa Tekijät, jotka vaikuttavat stabiliuteen Yhteensopivuus Antotapa Viitteet pdf
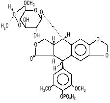
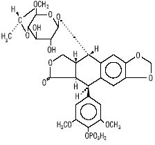
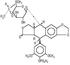
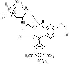
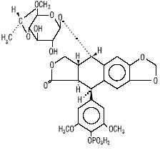
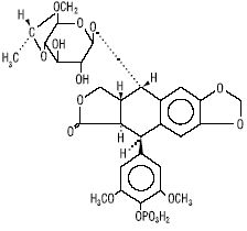
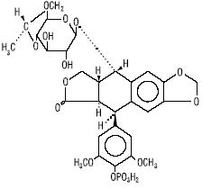
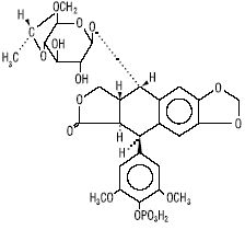
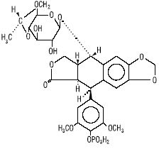
   Kemiallinen rakenne  

Kauppanimi   Kauppanimi     

Trade names are indicative and excipients composition can be different depending on the country and manufacturers

Etopofos Itävalta, Kreikka, Ruotsi
Etopophos Belgia, Bulgaria, Hollanti, Iso-Britannia, Israel, Luxemburg, New Zealand, Puola, Ranska, Saksa, Sveitsi, Yhdysvallat
Antotapa   Antotapa :Etoposide phosphate     
Voie
Intravenoosi
Intravenoosi-infuusio

  Mentions Légales