Cập nhật lần cuối :
18/03/2026
thuốc trị ung thư   Etoposide phosphate  
Dạng tiêm
Tính ổn định của các dung dịch Độ ổn định khi trộn lẫn Những yếu tố ảnh hưởng đến độ ổn định Khả năng tương thích Đường dùng Tài liệu tham khảo Pdf
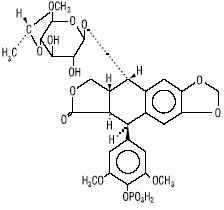
   Cấu trúc hóa học  

Tên thương mại   Tên thương mại     

Các tên thương mại được cung cấp và thành phần tá dược có thể khác nhau giữa các quốc gia và các hãng dược

Etopofos Áo, Hy Lạp, Thụy Điển
Etopophos Anh, Ba Lan, Bỉ, Bulgaria, Hà Lan, Hoa Kỳ, Israel, Luxembourg, new zealand, Pháp, Thụy Sỹ, Đức

Những yếu tố ảnh hưởng đến độ ổn định   Dạng tiêm   Những yếu tố ảnh hưởng đến độ ổn định : Etoposide phosphate        
Không có dữ liệu

  Mentions Légales