Pēdējā atjaunošana :
05/12/2025
vēzis narkotiku   Etoposide phosphate  
Injekcija
Šķīduma stabilitāte Maisījuma stabilitāte Stabilitāti ietekmējoši faktori Saderība Levadīšanas veids Literatūras saraksts pdf
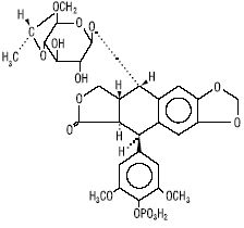
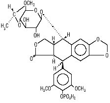
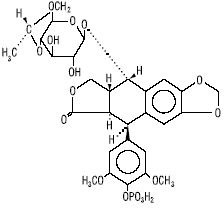
   Ķīmiskā uzbūve   

Oriģinālais nosaukums   Oriģinālais nosaukums     

Tirdzniecības nosaukumi ir apzīmējoši un palīgvielas var atšķirties dažādām valstīm un laboratorijām

Etopofos Austrija, Grieķija, Zviedrija
Etopophos Amerikas Savienotās Valstis, Beļģija, Bulgārija, Francija, Holande, Izraēla, Jaunzēlande, Lielbritānija, Luksemburga, Polija, Šveice, Vācija

Stabilitāti ietekmējoši faktori   Injekcija   Stabilitāti ietekmējoši faktori : Etoposide phosphate        
Nav datu

  Mentions Légales