Viimeisin päivitys :
05/12/2025
syöpälääke   Etoposide phosphate  
Injektioneste
Stabilius liuoksessa Stabilius seoksissa Tekijät, jotka vaikuttavat stabiliuteen Yhteensopivuus Antotapa Viitteet pdf
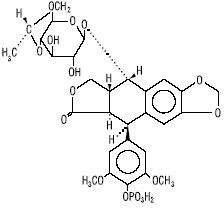
   Kemiallinen rakenne  

Kauppanimi   Kauppanimi     

Trade names are indicative and excipients composition can be different depending on the country and manufacturers

Etopofos Itävalta, Kreikka, Ruotsi
Etopophos Belgia, Bulgaria, Hollanti, Iso-Britannia, Israel, Luxemburg, New Zealand, Puola, Ranska, Saksa, Sveitsi, Yhdysvallat

Tekijät, jotka vaikuttavat stabiliuteen   Injektioneste   Tekijät, jotka vaikuttavat stabiliuteen : Etoposide phosphate        
ei tietoa

  Mentions Légales