最新更新 :
18/03/2026
細胞増殖抑制薬   Etoposide phosphate  
注射薬
溶媒内の安定性 混合時の安定性 安定性に影響する因子 互換性 投与経路 引用文献 PDF
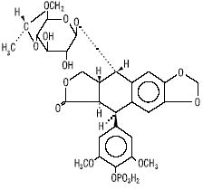
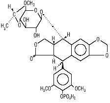
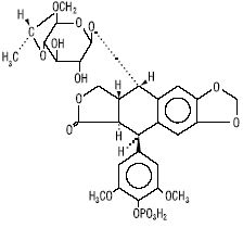
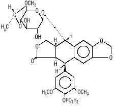
   化学構造  

商品名   商品名     

商品名、賦形剤は国、製薬会社ごとに異なることがあります

Etopofos オーストリア, ギリシア, スウェーデン
Etopophos アメリカ, イギリス, イスラエル, オランダ, スイス, ドイツ, ニュージーランド, フランス, ブルガリア, ベルギー, ポーランド, ルクセンブルグ

安定性に影響する因子   注射薬   安定性に影響する因子 : Etoposide phosphate        
データなし

  Mentions Légales