Dernière mise à jour :
18/03/2026
Anticancéreux   Etoposide phosphate  
injectable
Stabilité des solutions Stabilité en mélange Facteur influençant la stabilité Compatibilités Voie d’administration Bibliographie pdf
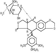
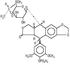
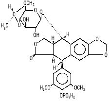
   Structure chimique  

Noms commerciaux   Noms commerciaux     

Les noms commerciaux sont donnés à titre indicatif et la composition en excipients peut être différente selon les pays et selon les laboratoires

Etopofos Autriche, Grèce, Suède
Etopophos Allemagne, Belgique, Bulgarie, Etats Unis d’Amérique, France, Grande Bretagne, Israël, Luxembourg, Nouvelle Zélande, Pays bas, Pologne, Suisse

Facteur influençant la stabilité   injectable   Facteur influençant la stabilité : Etoposide phosphate        
Aucune donnée

  Mentions Légales