Zadnji put ažurirano :
18/03/2026
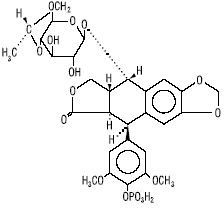
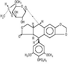
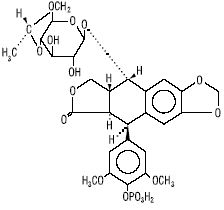
lijek protiv karcinoma   Etoposide phosphate  
injekcija
Stabilizacija rješenja Stabilnost mješavine Stabilizacijski faktor Kompatibilnosti način davanja lijeka Bibliografija pdf
   Kemijska struktura  

Nekomercijalni   Nekomercijalni     

Zaštićeni nazivi su indikativni i sastav ekscipijensa može biti različit ovisno o državi i laboratorijima

Etopofos Austrija, Grčka, Švedska
Etopophos Belgija, Bugarska, Francuska, Izrael, Luksemburg, Nizozemska, Njemačka, novi Zeland, Poljska, S A D, Švicarska, Velika Britanija

Stabilizacijski faktor   injekcija   Stabilizacijski faktor : Etoposide phosphate        
bez podataka

  Mentions Légales