zadnja posodobitev :
27/04/2026
Antibiotik   Tobramycin sulfate  
Brizgalka
Aerosol Kapljice za oči Peroralna raztopina
Stabilnost raztopine Stabilnost mešanice Faktorji, ki vplivajo na stabilnost Kompatibilnost način aplikacije Viri pdf
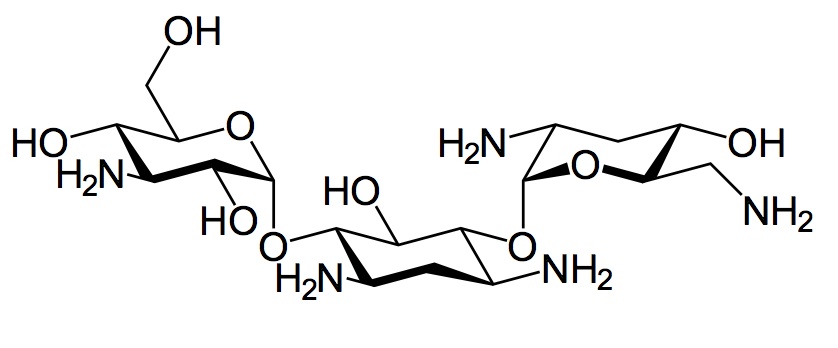
   Kemična formula  

Lastniško ime   Lastniško ime     

Sestava pomožnih snovi je med paralelami lahko različna

Bactob Indija
Beltob Indija
Bramicil Italija
Brulamycin Madžarska, Malezija, Slovenija
Eltol Indija
Fytobra Indija
Gernebcin Nemčija
Komitob Indija
Nebcin Egipt, Grčija, nova Zelandija, Savdska Arabija, Velika Britanija, Združeni arabski emirati
Nebcina Danska, Maroko, Norveška, Švedska
Nebcine Francija, Maroko, Slovenija
Nebicina Italija
Obracin Belgija, Luksemburg, Nizozemska, Švica
Tobracin Brazilija, Egipt, Savdska Arabija
Tobramicina Argentina, Brazilija, Čile, Ekvador, Italija, Kolumbija, Portugalska, Španija
Tobramina Brazilija
Tobramycin Avstralija, Irska, Kanada, Nemčija, Norveška, Savdska Arabija, Velika Britanija, Združene države Amerike
Tobramycine Francija, Irska, Nizozemska
Tobrasix Avstrija
Tobrazid Nemčija
Stabilnost raztopine   Brizgalka   Stabilnost raztopine : Tobramycin sulfate     
Vsebnik Topilo Koncentracija Temperatura Shranjevanje Trajanje stabilnosti Viri
Polivinil klorid Natrijev klorid 0,9% 1 & 10 mg/ml 25°C Nedoločeno
3 Dan
13
 Stopnja dokaza B

Polivinil klorid Natrijev klorid 0,9% 1 & 10 mg/ml 5°C Zaščiteno pred svetlobo
14 Dan
13
 Stopnja dokaza B

Polivinil klorid Natrijev klorid 0,9% 1,2 mg/ml -20°C Zaščiteno pred svetlobo
28 Dan
565
 Stopnja dokaza D

Polivinil klorid Natrijev klorid 0,9% 1,2 mg/ml 25°C Svetloba
48 čas
434

Polivinil klorid Natrijev klorid 0,9% 1,2 mg/ml 4°C Zaščiteno pred svetlobo
48 čas
434

Polivinil klorid Glukoza 5% 1,2 mg/ml -20°C Zaščiteno pred svetlobo
28 Dan
565
 Stopnja dokaza D

Polivinil klorid Glukoza 5% 1,2 mg/ml 25°C Svetloba
48 čas
434

Polivinil klorid Glukoza 5% 1,2 mg/ml 4°C Zaščiteno pred svetlobo
48 čas
434

Polivinil klorid Glukoza 5% 3,2 mg/ml -20°C Zaščiteno pred svetlobo
30 Dan
575
biološka analiza

Etilenvinilacetat Natrijev klorid 0,9% 0,95 mg/ml 23°C Zaščiteno pred svetlobo
7 Dan
1704
 Stopnja dokaza A+

Etilenvinilacetat Natrijev klorid 0,9% 0,95 mg/ml 4°C Zaščiteno pred svetlobo
30 Dan
1704
 Stopnja dokaza A+

Brizgalka polipropilen Voda za injekcije 40 mg/ml 25°C Nedoločeno
60 Dan
709
biološka analiza

Brizgalka polipropilen Voda za injekcije 40 mg/ml 4°C Zaščiteno pred svetlobo
60 Dan
709
biološka analiza

Brizgalka polipropilen Natrijev klorid 0,9% 30 mg/ml 22°C-23°C Svetloba
48 čas
639
 Stopnja dokaza D

Poliizoprenski elastomer Natrijev klorid 0,9% 0,5 & 5 mg/ml 25°C Nedoločeno
24 čas
604
Podatki stabilnosti proizvajalca

Poliizoprenski elastomer Natrijev klorid 0,9% 0,5 & 5 mg/ml 4°C Zaščiteno pred svetlobo
10 Dan
604
Podatki stabilnosti proizvajalca

Poliizoprenski elastomer Glukoza 5% 0,5 & 5 mg/ml 25°C Nedoločeno
24 čas
604
Podatki stabilnosti proizvajalca

Poliizoprenski elastomer Glukoza 5% 0,5 & 5 mg/ml 4°C Zaščiteno pred svetlobo
10 Dan
604
Podatki stabilnosti proizvajalca


  Mentions Légales