viimane versioon :
27/04/2026
antibiootikum   Tobramycin sulfate  
Süsteravim
aerosool Silmatilgad suukaudne lahus
Stabiilsus lahustes Stabiilsust mõjutavad tegurid stabiilsust mõjutavad faktorid Sobimatus Manustamis viis Viited pdf
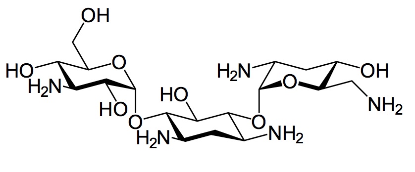
   keemiline struktuur  

Kaubanduslikud nimed erinevates maades   Kaubanduslikud nimed erinevates maades     

Preparaatide nimed on näitlikud ja abianete sisaldus võib erineda sõltuvalt riigist ja laborist

Bactob India
Beltob India
Bramicil Itaalia
Brulamycin Malaisia, Sloveenia, Ungari
Eltol India
Fytobra India
Gernebcin Saksamaa
Komitob India
Nebcin Araabia Ühendemiraadid, Egiptus, Kreeka, Saudi Araabia, Suurbritannia, uus-Meremaa
Nebcina Maroko, Norra, Rootsi, Taani
Nebcine Maroko, Prantsusmaa, Sloveenia
Nebicina Itaalia
Obracin Belgia, Holland, Luksemburg, Sveits
Tobracin Brasiilia, Egiptus, Saudi Araabia
Tobramicina Argentiina, Brasiilia, Ecuador, Hispaania, Itaalia, Kolumbia, Portugal, Tšiili
Tobramina Brasiilia
Tobramycin Ameerika ühendriigid, Austraalia, Iirimaa, Kanada, Norra, Saksamaa, Saudi Araabia, Suurbritannia
Tobramycine Holland, Iirimaa, Prantsusmaa
Tobrasix Austria
Tobrazid Saksamaa
Stabiilsus lahustes   Süsteravim   Stabiilsus lahustes : Tobramycin sulfate     
konteiner lahusti kontsentratsioon temperatuur ladustamine Stabiilsuse kestus Viited
polüvinüülkloriid naatriumkloriid 0.9% 1 & 10 mg/ml 25°C pole täpsustatud
3 päev
13
Tõenduspõhisuse tase B

polüvinüülkloriid naatriumkloriid 0.9% 1 & 10 mg/ml 5°C kaitsta valguse eest
14 päev
13
Tõenduspõhisuse tase B

polüvinüülkloriid naatriumkloriid 0.9% 1,2 mg/ml -20°C kaitsta valguse eest
28 päev
565
Tõenduspõhisuse tase D

polüvinüülkloriid naatriumkloriid 0.9% 1,2 mg/ml 25°C valgus
48 Tund
434

polüvinüülkloriid naatriumkloriid 0.9% 1,2 mg/ml 4°C kaitsta valguse eest
48 Tund
434

polüvinüülkloriid glükoos 5% 1,2 mg/ml -20°C kaitsta valguse eest
28 päev
565
Tõenduspõhisuse tase D

polüvinüülkloriid glükoos 5% 1,2 mg/ml 25°C valgus
48 Tund
434

polüvinüülkloriid glükoos 5% 1,2 mg/ml 4°C kaitsta valguse eest
48 Tund
434

polüvinüülkloriid glükoos 5% 3,2 mg/ml -20°C kaitsta valguse eest
30 päev
575
Bioloogiline analüüs

etüleen vinüülatsetaat naatriumkloriid 0.9% 0,95 mg/ml 23°C kaitsta valguse eest
7 päev
1704
Tõenduspõhisuse tase A+

etüleen vinüülatsetaat naatriumkloriid 0.9% 0,95 mg/ml 4°C kaitsta valguse eest
30 päev
1704
Tõenduspõhisuse tase A+

süstal  polüpropüleenist süstevesi 40 mg/ml 25°C pole täpsustatud
60 päev
709
Bioloogiline analüüs

süstal  polüpropüleenist süstevesi 40 mg/ml 4°C kaitsta valguse eest
60 päev
709
Bioloogiline analüüs

süstal  polüpropüleenist naatriumkloriid 0.9% 30 mg/ml 22°C-23°C valgus
48 Tund
639
Tõenduspõhisuse tase D

Polüisopreenist elastomeer naatriumkloriid 0.9% 0,5 & 5 mg/ml 25°C pole täpsustatud
24 Tund
604
Tootja info stabiilsuse kohta

Polüisopreenist elastomeer naatriumkloriid 0.9% 0,5 & 5 mg/ml 4°C kaitsta valguse eest
10 päev
604
Tootja info stabiilsuse kohta

Polüisopreenist elastomeer glükoos 5% 0,5 & 5 mg/ml 25°C pole täpsustatud
24 Tund
604
Tootja info stabiilsuse kohta

Polüisopreenist elastomeer glükoos 5% 0,5 & 5 mg/ml 4°C kaitsta valguse eest
10 päev
604
Tootja info stabiilsuse kohta


  Mentions Légales