最新更新 :
27/04/2026
抗生素   Tobramycin sulfate  
注射液
口服剂 气雾剂 眼药水
溶液稳定性 混合物稳定性 影响稳定性的因素 兼容性 用药途径 引用文献 PDF
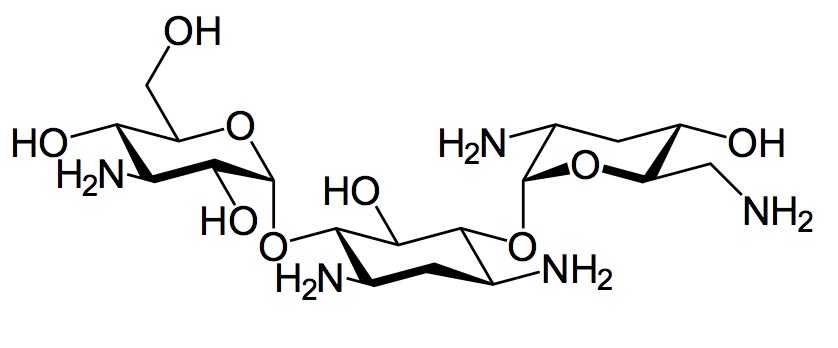
   化学式  

商品名   商品名     

商品名仅供参考, 药品所用的辅料可能依国家或厂商不同有所不同。

Bactob 印度
Beltob 印度
Bramicil 意大利
Brulamycin 匈牙利, 斯洛文尼亚, 马来西亚
Eltol 印度
Fytobra 印度
Gernebcin 德国
Komitob 印度
Nebcin 埃及, 希腊, 新西蘭, 沙特阿拉伯, 英国, 阿联酋
Nebcina 丹麦, 挪威, 摩洛哥, 瑞典
Nebcine 摩洛哥, 斯洛文尼亚, 法国
Nebicina 意大利
Obracin 卢森堡, 比利时, 瑞士, 荷兰
Tobracin 埃及, 巴西, 沙特阿拉伯
Tobramicina 厄瓜多尔, 哥伦比亚, 巴西, 意大利, 智利, 葡萄牙, 西班牙, 阿根廷
Tobramina 巴西
Tobramycin 加拿大, 德国, 挪威, 沙特阿拉伯, 澳大利亚, 爱尔兰, 美国, 英国
Tobramycine 法国, 爱尔兰, 荷兰
Tobrasix 奥地利
Tobrazid 德国
溶液稳定性   注射液   溶液稳定性 : Tobramycin sulfate     
容器 溶剂 浓度 温度 保存 穩定持續時間 引用文献
聚氯乙烯 NaCl 0,9% 1 & 10 mg/ml 25°C 无特殊要求
3 白天
13
B级

聚氯乙烯 NaCl 0,9% 1 & 10 mg/ml 5°C 避光
14 白天
13
B级

聚氯乙烯 NaCl 0,9% 1,2 mg/ml -20°C 避光
28 白天
565
D级

聚氯乙烯 NaCl 0,9% 1,2 mg/ml 25°C 光
48 小时
434

聚氯乙烯 NaCl 0,9% 1,2 mg/ml 4°C 避光
48 小时
434

聚氯乙烯 葡萄糖5% 1,2 mg/ml -20°C 避光
28 白天
565
D级

聚氯乙烯 葡萄糖5% 1,2 mg/ml 25°C 光
48 小时
434

聚氯乙烯 葡萄糖5% 1,2 mg/ml 4°C 避光
48 小时
434

聚氯乙烯 葡萄糖5% 3,2 mg/ml -20°C 避光
30 白天
575
生物检测

乙烯乙酸乙烯酯 NaCl 0,9% 0,95 mg/ml 23°C 避光
7 白天
1704
A+级

乙烯乙酸乙烯酯 NaCl 0,9% 0,95 mg/ml 4°C 避光
30 白天
1704
A+级

注射器  聚丙烯 注射用水 40 mg/ml 25°C 无特殊要求
60 白天
709
生物检测

注射器  聚丙烯 注射用水 40 mg/ml 4°C 避光
60 白天
709
生物检测

注射器  聚丙烯 NaCl 0,9% 30 mg/ml 22°C-23°C 光
48 小时
639
D级

聚異戊二烯彈性體 NaCl 0,9% 0,5 & 5 mg/ml 25°C 无特殊要求
24 小时
604
生产厂家提供的稳定性数据

聚異戊二烯彈性體 NaCl 0,9% 0,5 & 5 mg/ml 4°C 避光
10 白天
604
生产厂家提供的稳定性数据

聚異戊二烯彈性體 葡萄糖5% 0,5 & 5 mg/ml 25°C 无特殊要求
24 小时
604
生产厂家提供的稳定性数据

聚異戊二烯彈性體 葡萄糖5% 0,5 & 5 mg/ml 4°C 避光
10 白天
604
生产厂家提供的稳定性数据


  Mentions Légales