Ostatnia aktualizacja :
27/04/2026
Antybiotyk   Tobramycin sulfate  
Injekcje
Aerozol Krople oczne Roztwór doustny
Trwałość roztworów Trwałość w mieszaninie Czynnik wpływający na trwałość Zgodność Sposób podania Bibliografia pdf
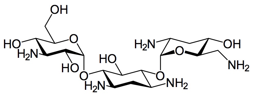
   Struktura chemiczna  

Nazwa handlowa   Nazwa handlowa     

Trade names are indicative and excipients composition can be different depending on the country and manufacturers

Bactob Indie
Beltob Indie
Bramicil Włochy
Brulamycin Malezja, Słowenia, Węgry
Eltol Indie
Fytobra Indie
Gernebcin Niemcy
Komitob Indie
Nebcin Arabia Saudyjska, Egipt, Grecja, nowa Zelandia, Wielka Brytania, Zjednoczone Emiraty Arabskie
Nebcina Dania, Maroko, Norwegia, Szwecja
Nebcine Francja , Maroko, Słowenia
Nebicina Włochy
Obracin Belgia, Holandia, Luksemburg, Szwajcaria
Tobracin Arabia Saudyjska, Brazylia, Egipt
Tobramicina Argentyna, Brazylia, Chile, Ekwador, Hiszpania, KolumbiaKolumbia, Portugalia, Włochy
Tobramina Brazylia
Tobramycin Arabia Saudyjska, Australia, Irlandia, Kanada, Niemcy, Norwegia, Stany Zjednoczone Ameryki, Wielka Brytania
Tobramycine Francja , Holandia, Irlandia
Tobrasix Austria
Tobrazid Niemcy
Trwałość roztworów   Injekcje   Trwałość roztworów : Tobramycin sulfate     
Pojemnik Rozpuszczalnik Stężenie Temperatura Przechowywanie Czas trwania stabilności Bibliografia
Polichlorek winylu Chlorek sodu 0,9% 1 & 10 mg/ml 25°C Nie wyszczególniony
3 Dzień
13
Poziom wiarygodności B

Polichlorek winylu Chlorek sodu 0,9% 1 & 10 mg/ml 5°C Chronić od światła
14 Dzień
13
Poziom wiarygodności B

Polichlorek winylu Chlorek sodu 0,9% 1,2 mg/ml -20°C Chronić od światła
28 Dzień
565
Poziom wiarygodności D

Polichlorek winylu Chlorek sodu 0,9% 1,2 mg/ml 25°C światło
48 Godzina
434

Polichlorek winylu Chlorek sodu 0,9% 1,2 mg/ml 4°C Chronić od światła
48 Godzina
434

Polichlorek winylu Glukoza 5% 1,2 mg/ml -20°C Chronić od światła
28 Dzień
565
Poziom wiarygodności D

Polichlorek winylu Glukoza 5% 1,2 mg/ml 25°C światło
48 Godzina
434

Polichlorek winylu Glukoza 5% 1,2 mg/ml 4°C Chronić od światła
48 Godzina
434

Polichlorek winylu Glukoza 5% 3,2 mg/ml -20°C Chronić od światła
30 Dzień
575
Analiza biologiczna

Etylen/octan winylu Chlorek sodu 0,9% 0,95 mg/ml 23°C Chronić od światła
7 Dzień
1704
Poziom wiarygodności A+

Etylen/octan winylu Chlorek sodu 0,9% 0,95 mg/ml 4°C Chronić od światła
30 Dzień
1704
Poziom wiarygodności A+

Strzykawka Woda do wstrzyknięć 40 mg/ml 25°C Nie wyszczególniony
60 Dzień
709
Analiza biologiczna

Strzykawka Woda do wstrzyknięć 40 mg/ml 4°C Chronić od światła
60 Dzień
709
Analiza biologiczna

Strzykawka Chlorek sodu 0,9% 30 mg/ml 22°C-23°C światło
48 Godzina
639
Poziom wiarygodności D

Elastomer poliizoprenowy Chlorek sodu 0,9% 0,5 & 5 mg/ml 25°C Nie wyszczególniony
24 Godzina
604
Dane stabilności producenta

Elastomer poliizoprenowy Chlorek sodu 0,9% 0,5 & 5 mg/ml 4°C Chronić od światła
10 Dzień
604
Dane stabilności producenta

Elastomer poliizoprenowy Glukoza 5% 0,5 & 5 mg/ml 25°C Nie wyszczególniony
24 Godzina
604
Dane stabilności producenta

Elastomer poliizoprenowy Glukoza 5% 0,5 & 5 mg/ml 4°C Chronić od światła
10 Dzień
604
Dane stabilności producenta


  Mentions Légales