Последнее обновление :
27/04/2026
Антибиотик   Tobramycin sulfate  
Инъекция
Аэрозоль Глазные капли Раствор для перорального приёма
Стабильность растворов Стабильность смесей Факторы, которые влияют на стабильность Совместимость Способы введения Библиография pdf
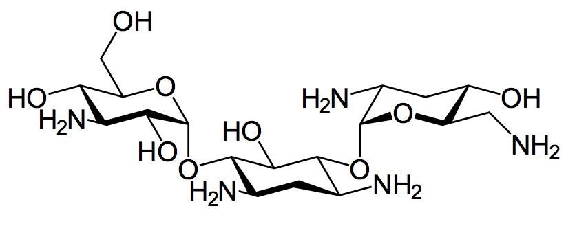
   Химическая структура  

Товарное название   Товарное название     

Trade names are indicative and excipients composition can be different depending on the country and manufacturers

Bactob Индия
Beltob Индия
Bramicil Италия
Brulamycin Венгрия, Малайзия, Словения
Eltol Индия
Fytobra Индия
Gernebcin Германия
Komitob Индия
Nebcin Великобритания, Греция, Египет, новая Зеландия, Объединенные Арабские Эмираты, Саудовская Аравия
Nebcina Дания, Марокко, Норвегия, Швеция
Nebcine Марокко, Словения, Франция
Nebicina Италия
Obracin Бельгия, Голландия, Люксембург, Швейцария
Tobracin Бразилия, Египет, Саудовская Аравия
Tobramicina Аргентина, Бразилия, Испания, Италия, Колумбия, Португалия, чили, Эквадор
Tobramina Бразилия
Tobramycin Австралия, Великобритания, Германия, Ирландия, Канада, Норвегия, Саудовская Аравия, Соединённые Штаты Америки
Tobramycine Голландия, Ирландия, Франция
Tobrasix Австрия
Tobrazid Германия
Стабильность растворов   Инъекция   Стабильность растворов : Tobramycin sulfate     
Упаковка Растворитель Концентрация Температура Хранение Продолжительность стабильности Ссылки
Поливинилхлорид Натрия хлорид 0,9% 1 & 10 mg/ml 25°C Не указано
3 День
13
Уровень доказательности B

Поливинилхлорид Натрия хлорид 0,9% 1 & 10 mg/ml 5°C Защищён от света
14 День
13
Уровень доказательности B

Поливинилхлорид Натрия хлорид 0,9% 1,2 mg/ml -20°C Защищён от света
28 День
565
Уровень доказательности D

Поливинилхлорид Натрия хлорид 0,9% 1,2 mg/ml 25°C Свет
48 Час
434

Поливинилхлорид Натрия хлорид 0,9% 1,2 mg/ml 4°C Защищён от света
48 Час
434

Поливинилхлорид Глюкоза 5% 1,2 mg/ml -20°C Защищён от света
28 День
565
Уровень доказательности D

Поливинилхлорид Глюкоза 5% 1,2 mg/ml 25°C Свет
48 Час
434

Поливинилхлорид Глюкоза 5% 1,2 mg/ml 4°C Защищён от света
48 Час
434

Поливинилхлорид Глюкоза 5% 3,2 mg/ml -20°C Защищён от света
30 День
575
Биологический метод

Этилен-винилацетат Натрия хлорид 0,9% 0,95 mg/ml 23°C Защищён от света
7 День
1704
Уровень доказательности A +

Этилен-винилацетат Натрия хлорид 0,9% 0,95 mg/ml 4°C Защищён от света
30 День
1704
Уровень доказательности A +

Шприц полипропилен Вода для инъекций 40 mg/ml 25°C Не указано
60 День
709
Биологический метод

Шприц полипропилен Вода для инъекций 40 mg/ml 4°C Защищён от света
60 День
709
Биологический метод

Шприц полипропилен Натрия хлорид 0,9% 30 mg/ml 22°C-23°C Свет
48 Час
639
Уровень доказательности D

Полиизопреновый эластомер Натрия хлорид 0,9% 0,5 & 5 mg/ml 25°C Не указано
24 Час
604
Данные по стабльности от изготовителя

Полиизопреновый эластомер Натрия хлорид 0,9% 0,5 & 5 mg/ml 4°C Защищён от света
10 День
604
Данные по стабльности от изготовителя

Полиизопреновый эластомер Глюкоза 5% 0,5 & 5 mg/ml 25°C Не указано
24 Час
604
Данные по стабльности от изготовителя

Полиизопреновый эластомер Глюкоза 5% 0,5 & 5 mg/ml 4°C Защищён от света
10 День
604
Данные по стабльности от изготовителя


  Mentions Légales