Seneste opdatering :
27/04/2026
Antibiotisk   Tobramycin sulfate  
Injektion
Aerosol Oral opløsning Øjendråber
Stabilitet i (vandige) opløsninger Stabilitet i blandinger Faktorer der påvirker stabiliteten Kompatibilitet Administrationsvej Bibliografi pdf
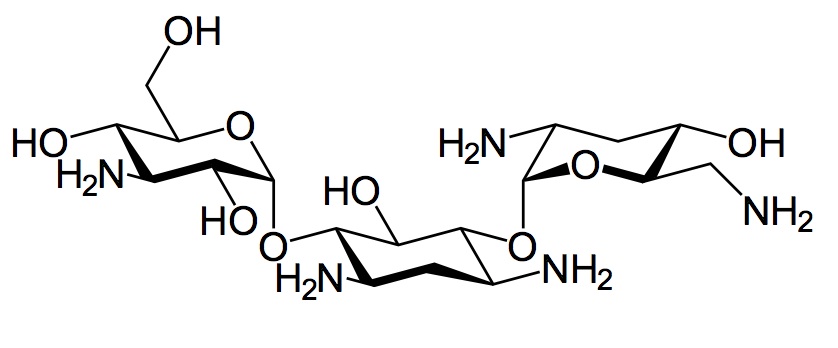
   Kemisk struktur  

Handelsnavn   Handelsnavn     

Handel navne er vejledende og hjælpestoffer sammensætning kan være forskellig afhængigt af landet og laboratorier

Bactob Indien
Beltob Indien
Bramicil Italien
Brulamycin Malaysia, Slovenien, Ungarn
Eltol Indien
Fytobra Indien
Gernebcin Tyskland
Komitob Indien
Nebcin Forenede Arabiske Emirater, Grækenland, New Zealand, Saudi-Arabien, Storbritanien, Ægypten
Nebcina Danmark, Marokko, Norge, Sverige
Nebcine Frankrig, Marokko, Slovenien
Nebicina Italien
Obracin Belgien, Holland, Luxemborg, Schweiz
Tobracin Brasilien, Saudi-Arabien, Ægypten
Tobramicina Argentina, Brasilien, Chile, Colombia, Ecuador, Italien, Portugal, Spanien
Tobramina Brasilien
Tobramycin Australien, Canada, Irland, Norge, Saudi-Arabien, Storbritanien, Tyskland, USA
Tobramycine Frankrig, Holland, Irland
Tobrasix Østrig
Tobrazid Tyskland
Stabilitet i (vandige) opløsninger   Injektion   Stabilitet i (vandige) opløsninger : Tobramycin sulfate     
Beholder Opløsningsmiddel Koncentration Temperatur Konservering Varighed af stabilitet Bibliografi
Polyvinylklorid 0,9 % Natriumklorid 1 & 10 mg/ml 25°C Ikke nærmere angivet
3 Dag
13
Level af bevismateriale B

Polyvinylklorid 0,9 % Natriumklorid 1 & 10 mg/ml 5°C Beskyt mod lys
14 Dag
13
Level af bevismateriale B

Polyvinylklorid 0,9 % Natriumklorid 1,2 mg/ml -20°C Beskyt mod lys
28 Dag
565
Level af bevismateriale D

Polyvinylklorid 0,9 % Natriumklorid 1,2 mg/ml 25°C Lys
48 Time
434

Polyvinylklorid 0,9 % Natriumklorid 1,2 mg/ml 4°C Beskyt mod lys
48 Time
434

Polyvinylklorid 5 % Glukose 1,2 mg/ml -20°C Beskyt mod lys
28 Dag
565
Level af bevismateriale D

Polyvinylklorid 5 % Glukose 1,2 mg/ml 25°C Lys
48 Time
434

Polyvinylklorid 5 % Glukose 1,2 mg/ml 4°C Beskyt mod lys
48 Time
434

Polyvinylklorid 5 % Glukose 3,2 mg/ml -20°C Beskyt mod lys
30 Dag
575
biologisk analyse

Ethylen vinyl acetat 0,9 % Natriumklorid 0,95 mg/ml 23°C Beskyt mod lys
7 Dag
1704
Level af bevismateriale A+

Ethylen vinyl acetat 0,9 % Natriumklorid 0,95 mg/ml 4°C Beskyt mod lys
30 Dag
1704
Level af bevismateriale A+

sprøjte polypropylen Vand til injektion 40 mg/ml 25°C Ikke nærmere angivet
60 Dag
709
biologisk analyse

sprøjte polypropylen Vand til injektion 40 mg/ml 4°C Beskyt mod lys
60 Dag
709
biologisk analyse

sprøjte polypropylen 0,9 % Natriumklorid 30 mg/ml 22°C-23°C Lys
48 Time
639
Level af bevismateriale D

Polyisopren elastomer 0,9 % Natriumklorid 0,5 & 5 mg/ml 25°C Ikke nærmere angivet
24 Time
604
Producentens stabilitet data

Polyisopren elastomer 0,9 % Natriumklorid 0,5 & 5 mg/ml 4°C Beskyt mod lys
10 Dag
604
Producentens stabilitet data

Polyisopren elastomer 5 % Glukose 0,5 & 5 mg/ml 25°C Ikke nærmere angivet
24 Time
604
Producentens stabilitet data

Polyisopren elastomer 5 % Glukose 0,5 & 5 mg/ml 4°C Beskyt mod lys
10 Dag
604
Producentens stabilitet data


  Mentions Légales