Posledná aktualizácia :
27/04/2026
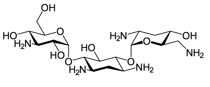
antibiotikum   Tobramycin sulfate  
Injekcia
Aerosól Očná instilácia Perorálny roztok
Stabilita roztokov Stabilita v zmesiach Faktory ovplyvňujúce stabilitu Kompatibility spôsob podania Odkazy na literatúru PDF
   Chemický vzorec  

Obchodný názov   Obchodný názov     

Obchodné názvy sú orientačné, a zloženie pomocných látok sa môže líšiť v závislosti od krajiny a výrobcu.

Bactob India
Beltob India
Bramicil Taliansko
Brulamycin Maďarsko, Malajzia, Slovinsko
Eltol India
Fytobra India
Gernebcin Nemecko
Komitob India
Nebcin Egypt, Grécko, nový Zéland, Saudská Arábia, Spojené arabské emiráty, Veľká Británia
Nebcina Dánsko, Maroko, Nórsko, Švédsko
Nebcine Francúzsko, Maroko, Slovinsko
Nebicina Taliansko
Obracin Belgicko, Holandsko, Luxembursko, Švajčiarsko
Tobracin Brazília, Egypt, Saudská Arábia
Tobramicina Argentína, Brazília, Čile, Ekvádor, Kolumbia, Portugalsko, Španielsko, Taliansko
Tobramina Brazília
Tobramycin Austrália, Írsko, Kanada, Nemecko, Nórsko, Saudská Arábia, Spojené štáty Americké, Veľká Británia
Tobramycine Francúzsko, Holandsko, Írsko
Tobrasix Rakúsko
Tobrazid Nemecko

Faktory ovplyvňujúce stabilitu   Injekcia   Faktory ovplyvňujúce stabilitu : Tobramycin sulfate        
žiadne údaje

  Mentions Légales