Последно актуализиране :
27/11/2025
Антибиотик   Tobramycin sulfate  
Инжекция/Инжекционен
Аерозол Капки за очи Орален разтвор
Стабилност на разтвори Стабилност на смеси Фактори, повлияващи стабилността Съвместимост Път на въвеждане Библиография Pdf
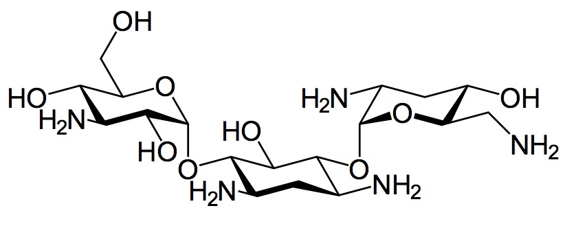
   Химична структура  

Търговско наименование   Търговско наименование     

Търговските имена са примерни и съставът на помощните вещества може да бъде различен в зависимост от държавата и лабораториите

Bactob Индия
Beltob Индия
Bramicil Италия
Brulamycin Малайзия, Словения, Унгария
Eltol Индия
Fytobra Индия
Gernebcin Германия
Komitob Индия
Nebcin Великобритания, Гърция, Египет, нова Зеландия, Обединени арабски емирства, Саудитска Арабия
Nebcina Дания, Мароко, Норвегия, Швеция
Nebcine Мароко, Словения, Франция
Nebicina Италия
Obracin Белгия, Люксенбург, Холандия, Швейцария
Tobracin Бразилия, Египет, Саудитска Арабия
Tobramicina Аржентина, Бразилия, Еквадор, Испания, Италия, Колумбия, Португалия, Чили
Tobramina Бразилия
Tobramycin Австралия, Великобритания, Германия, Ирландия, Канада, Норвегия, Саудитска Арабия, Съединени Американски щати / САЩ
Tobramycine Ирландия, Франция, Холандия
Tobrasix Австрия
Tobrazid Германия

Фактори, повлияващи стабилността   Инжекция/Инжекционен   Фактори, повлияващи стабилността : Tobramycin sulfate        
Няма данни

  Mentions Légales