Última actualização :
27/11/2025
antibiótico   Tobramycin sulfate  
injetável
aerossol solução oftálmica Solução Oral
Estabilidade em soluções simples Estabilidade em misturas Factores que afectam a sua estabilidade Compatibilidade Método de administração Bibliografía pdf
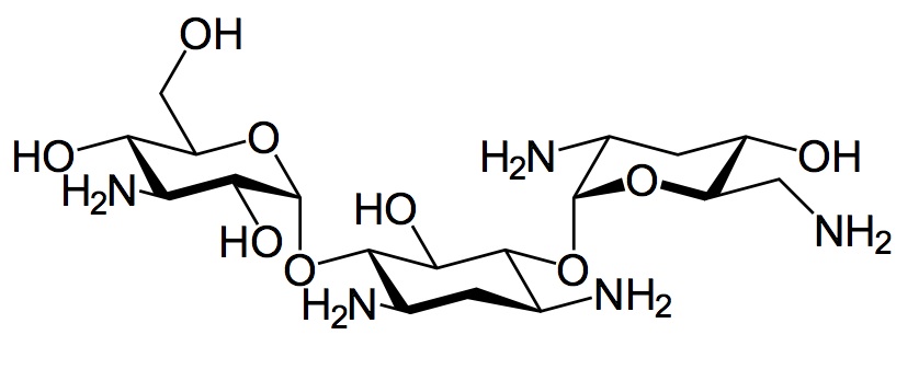
   estrutura química  

Nomes comerciais nos diversos países   Nomes comerciais nos diversos países     

OS NOMES COMERCIAIS SÃO INDICATIVOS E OS EXCIPIENTES DA FORMULAÇÃO PODEM SER DIFERENTES CONFORME O PAÍS E FABRICANTE.

Bactob Índia
Beltob Índia
Bramicil Itália
Brulamycin Eslovenia, Hungria, Malásia
Eltol Índia
Fytobra Índia
Gernebcin Alemanha
Komitob Índia
Nebcin Arábia Saudita, Egipto, Emirados Árabes Unidos, Gran-bretanha, Grècia, nova Zelândia
Nebcina Dinamarca, Marrocos, Noruega, Suècia
Nebcine Eslovenia, França, Marrocos
Nebicina Itália
Obracin Bélgica, Luxemburgo, Países Baixos, Suicia
Tobracin Arábia Saudita, Brasil, Egipto
Tobramicina Argentina, Brasil, Chilli, Colômbia, Equator, Espanha, Itália, Portugal
Tobramina Brasil
Tobramycin Alemanha, Arábia Saudita, Australia, Canadá, Estados Unidos de América, Gran-bretanha, Irlanda, Noruega
Tobramycine França, Irlanda, Países Baixos
Tobrasix Austria
Tobrazid Alemanha

Factores que afectam a sua estabilidade   injetável   Factores que afectam a sua estabilidade : Tobramycin sulfate        
Ausência de dados

  Mentions Légales