Pēdējā atjaunošana :
27/04/2026
Antibiotika   Tobramycin sulfate  
Injekcija
Acu pilieni Aerosols Orāls šķīdums
Šķīduma stabilitāte Maisījuma stabilitāte Stabilitāti ietekmējoši faktori Saderība Levadīšanas veids Literatūras saraksts pdf
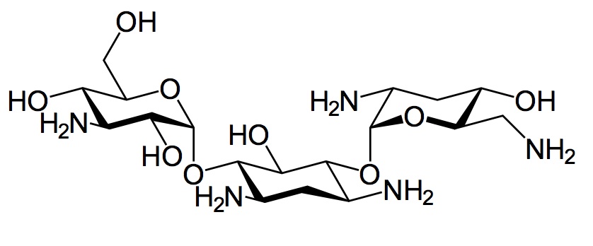
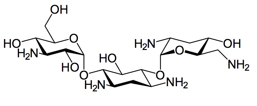
   Ķīmiskā uzbūve   

Oriģinālais nosaukums   Oriģinālais nosaukums     

Tirdzniecības nosaukumi ir apzīmējoši un palīgvielas var atšķirties dažādām valstīm un laboratorijām

Bactob Indija
Beltob Indija
Bramicil Itālija
Brulamycin Malaizija, Slovēnija, Ungārija
Eltol Indija
Fytobra Indija
Gernebcin Vācija
Komitob Indija
Nebcin Apvienotie Arābu Emirāti, Ēģipte, Grieķija, Jaunzēlande, Lielbritānija, Saūda Arābija
Nebcina Dānija, Maroka, Norvēģija, Zviedrija
Nebcine Francija, Maroka, Slovēnija
Nebicina Itālija
Obracin Beļģija, Holande, Luksemburga, Šveice
Tobracin Brazīlija, Ēģipte, Saūda Arābija
Tobramicina Argentīna, Brazīlija, Čīle, Ekvadora, Itālija, Kolumbija, Portugāle, Spānija
Tobramina Brazīlija
Tobramycin Amerikas Savienotās Valstis, Austrālija, Īrija, Kanāda, Lielbritānija, Norvēģija, Saūda Arābija, Vācija
Tobramycine Francija, Holande, Īrija
Tobrasix Austrija
Tobrazid Vācija

Stabilitāti ietekmējoši faktori   Injekcija   Stabilitāti ietekmējoši faktori : Tobramycin sulfate        
Nav datu

  Mentions Légales