Laatste update :
27/11/2025
Antibioticum   Tobramycin sulfate  
injecteerbaar geneesmiddel
Aerosol Oogwater Orale Oplossing
Stabiliteit in oplossing Stabiliteit in mengsels Factoren die de stabiliteit beïnvloeden Verenigbaarheden Toedieningswijze Literatuur pdf
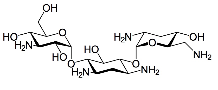
   Molecuulstructuur  

Merknamen in verschillende landen   Merknamen in verschillende landen     

Handelsnamen zijn slechts een indicatie; de samenstelling van hulpstoffen kan per land variëren afhankelijk van de fabrikant

Bactob Indië
Beltob Indië
Bramicil Italië
Brulamycin Hongarije, Maleisië, Slovenië
Eltol Indië
Fytobra Indië
Gernebcin Duitsland
Komitob Indië
Nebcin Egypte, Griekenland, Groot Britannië, nieuw Zeeland, Saudi-Arabië, Verenigde Arabische Emiraten
Nebcina Denemarken, Marokko, Noorwegen, Zweden
Nebcine Frankrijk, Marokko, Slovenië
Nebicina Italië
Obracin België, Luxemburg, Nederland, Zwitserland
Tobracin Brazilië, Egypte, Saudi-Arabië
Tobramicina Argentinië, Brazilië, Chili, Colombia, Ecuador, Italië, Portugal, Spanje
Tobramina Brazilië
Tobramycin Australië, Canada, Duitsland, Groot Britannië, Ierland, Noorwegen, Saudi-Arabië, USA
Tobramycine Frankrijk, Ierland, Nederland
Tobrasix Oostenrijk
Tobrazid Duitsland

Factoren die de stabiliteit beïnvloeden   injecteerbaar geneesmiddel   Factoren die de stabiliteit beïnvloeden : Tobramycin sulfate        
geen gegevens

  Mentions Légales