Ultimo aggiornamento :
27/11/2025
Antibiotico   Tobramycin sulfate  
Iniezione
Aerosol Collirio Soluzione orale
Stabilità in soluzione Stabilità in miscela Fattori che influenzano la stabilità Compatibilità metodo di iniezione Bibliografia pdf
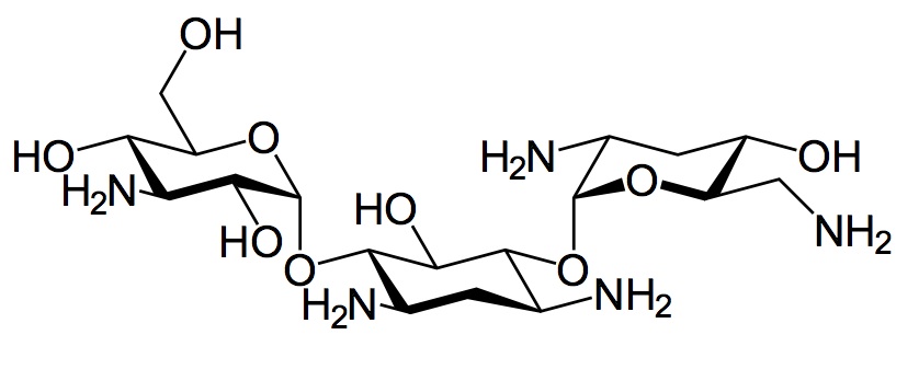
   Struttura chimica  

Nome commerciale   Nome commerciale     

Trade names are indicative and excipients composition can be different depending on the country and manufacturers

Bactob India
Beltob India
Bramicil Italia
Brulamycin Malaysia, Slovenia, Ungheria
Eltol India
Fytobra India
Gernebcin Germania
Komitob India
Nebcin Arabia Saudita, Egitto, Emirati Arabi Uniti, Gran Bretagna, Grecia, nuova Zelanda
Nebcina Danimarca, Marocco, Norvegia, Svezia
Nebcine Francia, Marocco, Slovenia
Nebicina Italia
Obracin Belgio, Lussemburgo, Paesi Bassi, Svizzera
Tobracin Arabia Saudita, Brasile, Egitto
Tobramicina Argentina, Brasile, Chile, Colombia, Ecuador, Italia, Portogallo, Spagna
Tobramina Brasile
Tobramycin Arabia Saudita, Australia, Canada, Germania, Gran Bretagna, Irlanda, Norvegia, Stati Uniti d’America
Tobramycine Francia, Irlanda, Paesi Bassi
Tobrasix Austria
Tobrazid Germania

Fattori che influenzano la stabilità   Iniezione   Fattori che influenzano la stabilità : Tobramycin sulfate        
Assenza di dati

  Mentions Légales