Cập nhật lần cuối :
18/03/2026
Kháng sinh   Netilmicin sulfate  
Dạng tiêm
Khí dung
Tính ổn định của các dung dịch Độ ổn định khi trộn lẫn Những yếu tố ảnh hưởng đến độ ổn định Khả năng tương thích Đường dùng Tài liệu tham khảo Pdf
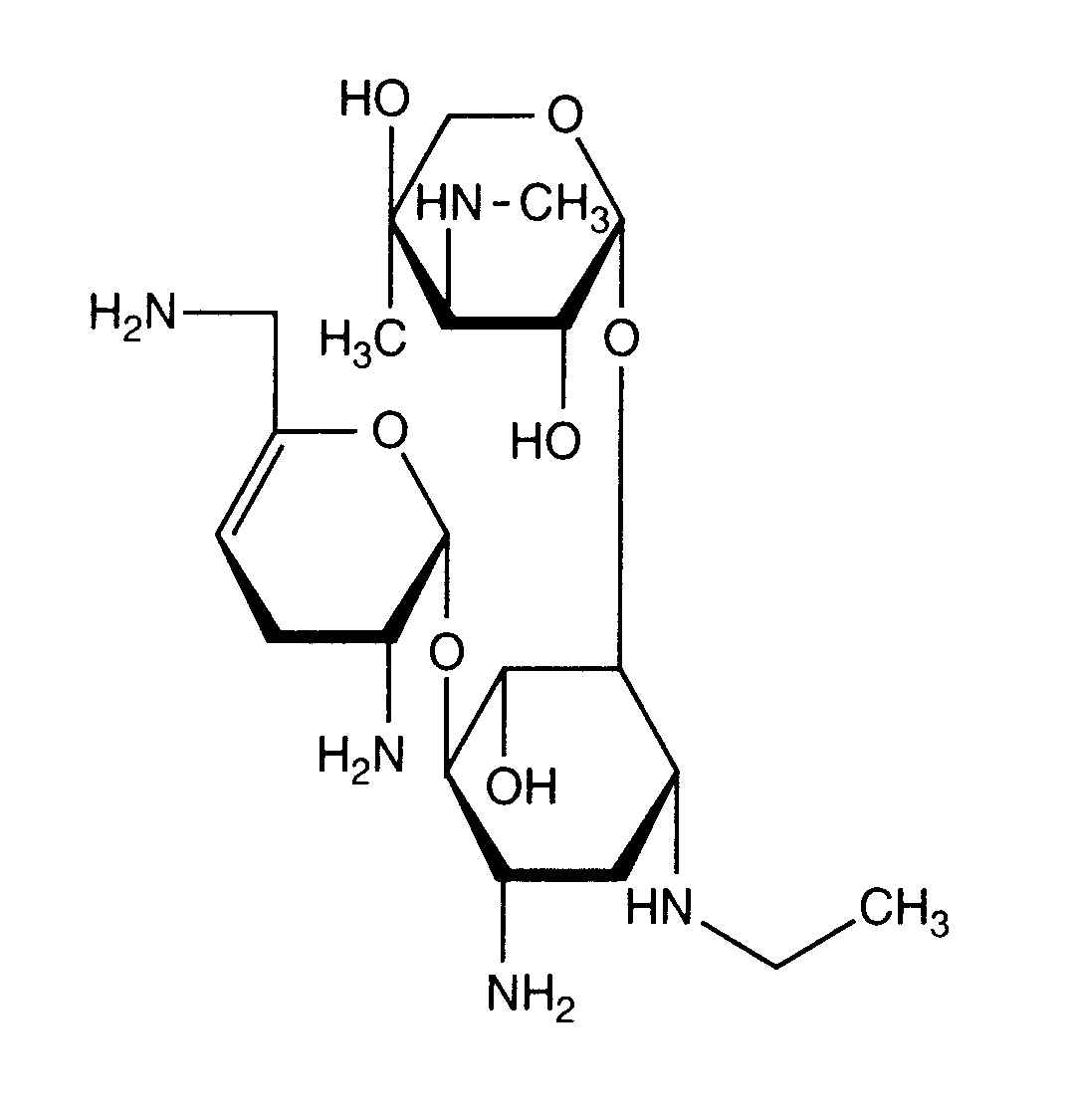
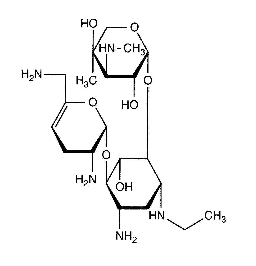
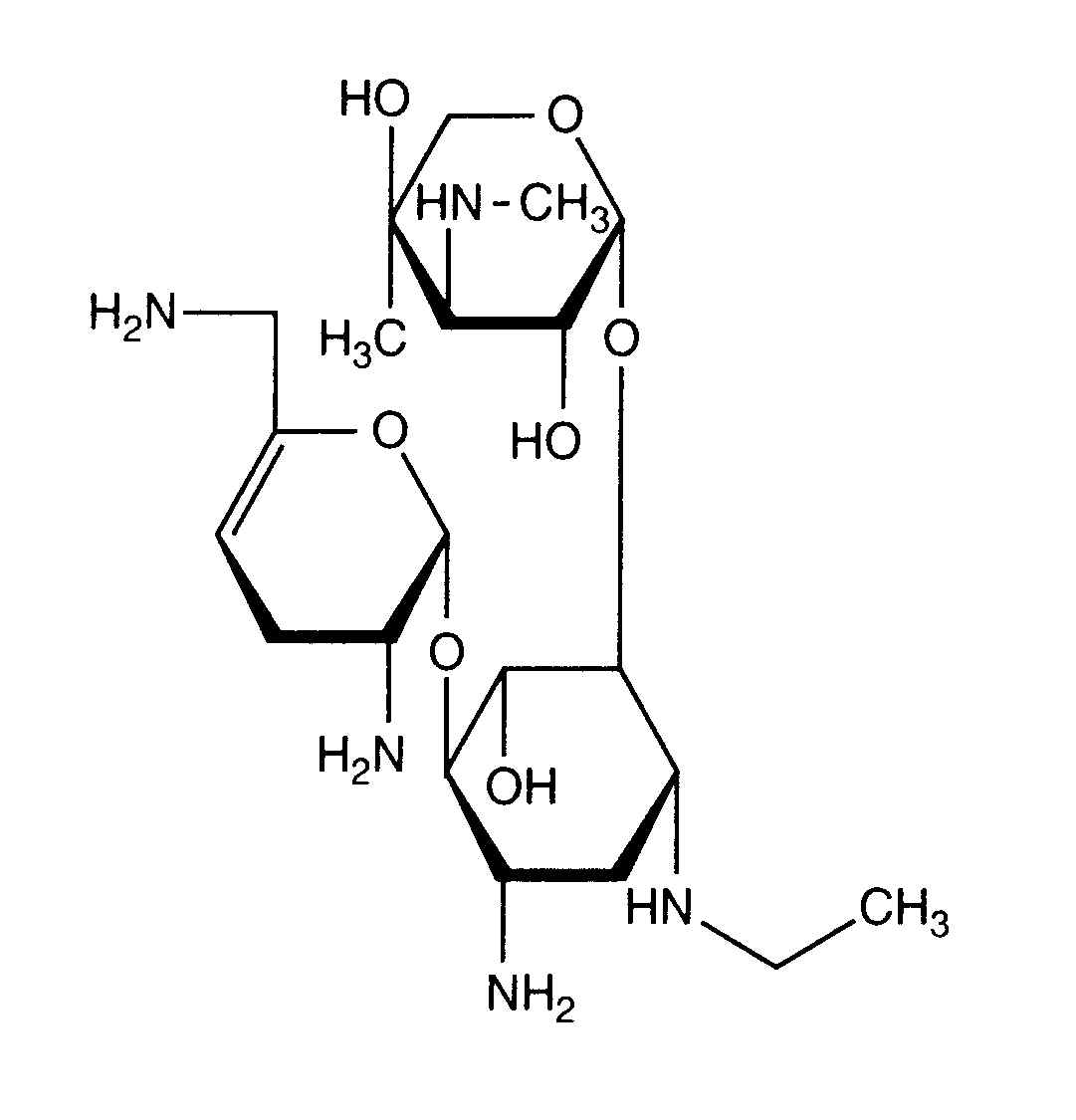
   Cấu trúc hóa học  

Tên thương mại   Tên thương mại     

Các tên thương mại được cung cấp và thành phần tá dược có thể khác nhau giữa các quốc gia và các hãng dược

Bactob Ấn Độ
Beltob Ấn Độ
Bramicil Ý
Brulamycin Hungary
Eltol Ấn Độ
Fytobra Ấn Độ
Gernebcin Đức
Komitub Ấn Độ
Nebcin Ả Rập, Ả Rập Saudi, Anh, Hy Lạp, new zealand, Úc, United Arab Emirates
Nebcina Morocco, Na Uy, Thụy Điển, Đan Mạch
Nebcine Morocco
Nebicina Ý
Netilyn Phần Lan, Thụy Điển
Netromicina Bồ Đào Nha
Netromicine Pháp
Netromycine Ba Lan, Hy Lạp, Nga, Thổ Nhĩ Kỳ
Nettacin Ý
Obracin Bỉ, Hà Lan, Luxembourg, Thụy Sỹ
Tobra Đức
Tobra Alex Ả Rập
Tobra Day new zealand
Tobra Gobens Tây Ban Nha
Tobracin Ả Rập
Tobradistin Tây Ban Nha
Tobramicina Bồ Đào Nha, Tây Ban Nha, Venezuela, Ý
Tobramina Brazil
Tobramycin Ả Rập Saudi, Anh, Canada, Hoa Kỳ, Ireland, Na Uy, Úc, Đức
Tobramycine Hà Lan, Ireland, Pháp
Tobrasix Áo
Tobrazid Đức
Tomycin Phần Lan
Zetamicin Ý
Độ ổn định khi trộn lẫn   Dạng tiêm   Độ ổn định khi trộn lẫn : Netilmicin sulfate     
Bao bì Dung môi Nồng độ Phân tử Nhiệt độ Bảo quản Thời gian ổn định Mục lục
Thủy tinh NaCl 0,9% 3 mg/ml
Dạng tiêm   Netilmicin sulfate   
Dạng tiêm   Clindamycin phosphate 9 mg/ml
24°C
24 Giờ
Ánh sáng 421
JOKER
Thủy tinh Glucose 5% 3 mg/ml
Dạng tiêm   Netilmicin sulfate   
Dạng tiêm   Clindamycin phosphate 9 mg/ml
24°C
24 Giờ
Ánh sáng 421
JOKER
Nhựa polyvinyl chloride NaCl 0,9% 3 mg/ml
Dạng tiêm   Netilmicin sulfate   
Dạng tiêm   Clindamycin phosphate 9 mg/ml
24°C
24 Giờ
Ánh sáng 421
JOKER
Nhựa polyvinyl chloride Glucose 5% 3 mg/ml
Dạng tiêm   Netilmicin sulfate   
Dạng tiêm   Clindamycin phosphate 9 mg/ml
24°C
24 Giờ
Ánh sáng 421
JOKER

  Mentions Légales