Seneste opdatering :
18/03/2026
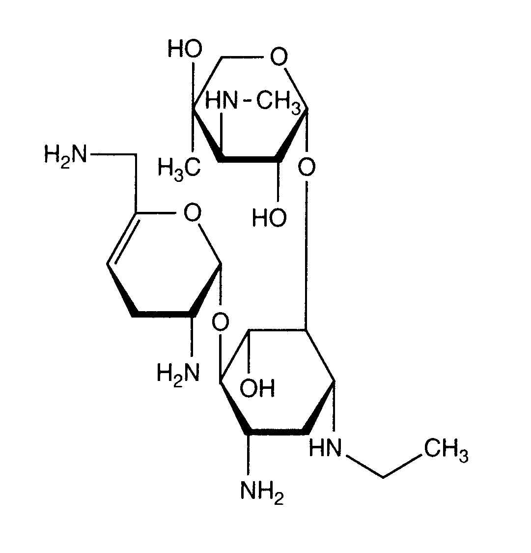
Antibiotisk   Netilmicin sulfate  
Injektion
Aerosol
Stabilitet i (vandige) opløsninger Stabilitet i blandinger Faktorer der påvirker stabiliteten Kompatibilitet Administrationsvej Bibliografi pdf
   Kemisk struktur  

Handelsnavn   Handelsnavn     

Handel navne er vejledende og hjælpestoffer sammensætning kan være forskellig afhængigt af landet og laboratorier

Bactob Indien
Beltob Indien
Bramicil Italien
Brulamycin Ungarn
Eltol Indien
Fytobra Indien
Gernebcin Tyskland
Komitub Indien
Nebcin Australien, Forenede Arabiske Emirater, Grækenland, New Zealand, Saudi-Arabien, Storbritanien, Ægypten
Nebcina Danmark, Marokko, Norge, Sverige
Nebcine Marokko
Nebicina Italien
Netilyn Finland, Sverige
Netromicina Portugal
Netromicine Frankrig
Netromycine Grækenland, Polen, russisk, Tyrkiet
Nettacin Italien
Obracin Belgien, Holland, Luxemborg, Schweiz
Tobra Tyskland
Tobra Alex Ægypten
Tobra Day New Zealand
Tobra Gobens Spanien
Tobracin Ægypten
Tobradistin Spanien
Tobramicina Italien, Portugal, Spanien, Venezuela
Tobramina Brasilien
Tobramycin Australien, Canada, Irland, Norge, Saudi-Arabien, Storbritanien, Tyskland, USA
Tobramycine Frankrig, Holland, Irland
Tobrasix Østrig
Tobrazid Tyskland
Tomycin Finland
Zetamicin Italien
Stabilitet i blandinger   Injektion   Stabilitet i blandinger : Netilmicin sulfate     
Beholder Opløsningsmiddel Koncentration Molekyle Temperatur Konservering Varighed af stabilitet Bibliografi
Glas 0,9 % Natriumklorid 3 mg/ml
Injektion   Netilmicin sulfate   
Injektion   Clindamycin phosphate 9 mg/ml
24°C
24 Time
Lys 421
Joker
Glas 5 % Glukose 3 mg/ml
Injektion   Netilmicin sulfate   
Injektion   Clindamycin phosphate 9 mg/ml
24°C
24 Time
Lys 421
Joker
Polyvinylklorid 0,9 % Natriumklorid 3 mg/ml
Injektion   Netilmicin sulfate   
Injektion   Clindamycin phosphate 9 mg/ml
24°C
24 Time
Lys 421
Joker
Polyvinylklorid 5 % Glukose 3 mg/ml
Injektion   Netilmicin sulfate   
Injektion   Clindamycin phosphate 9 mg/ml
24°C
24 Time
Lys 421
Joker

  Mentions Légales