Siste oppdatering :
18/03/2026
Antibiotika   Netilmicin sulfate  
Injeksjon
Aerosol
Oppløsningsstabilitet Stabilitet i blandinger Faktorer som påvirker stabiliteten Kompatibilitet Administrasjonsmåte Referanser pdf
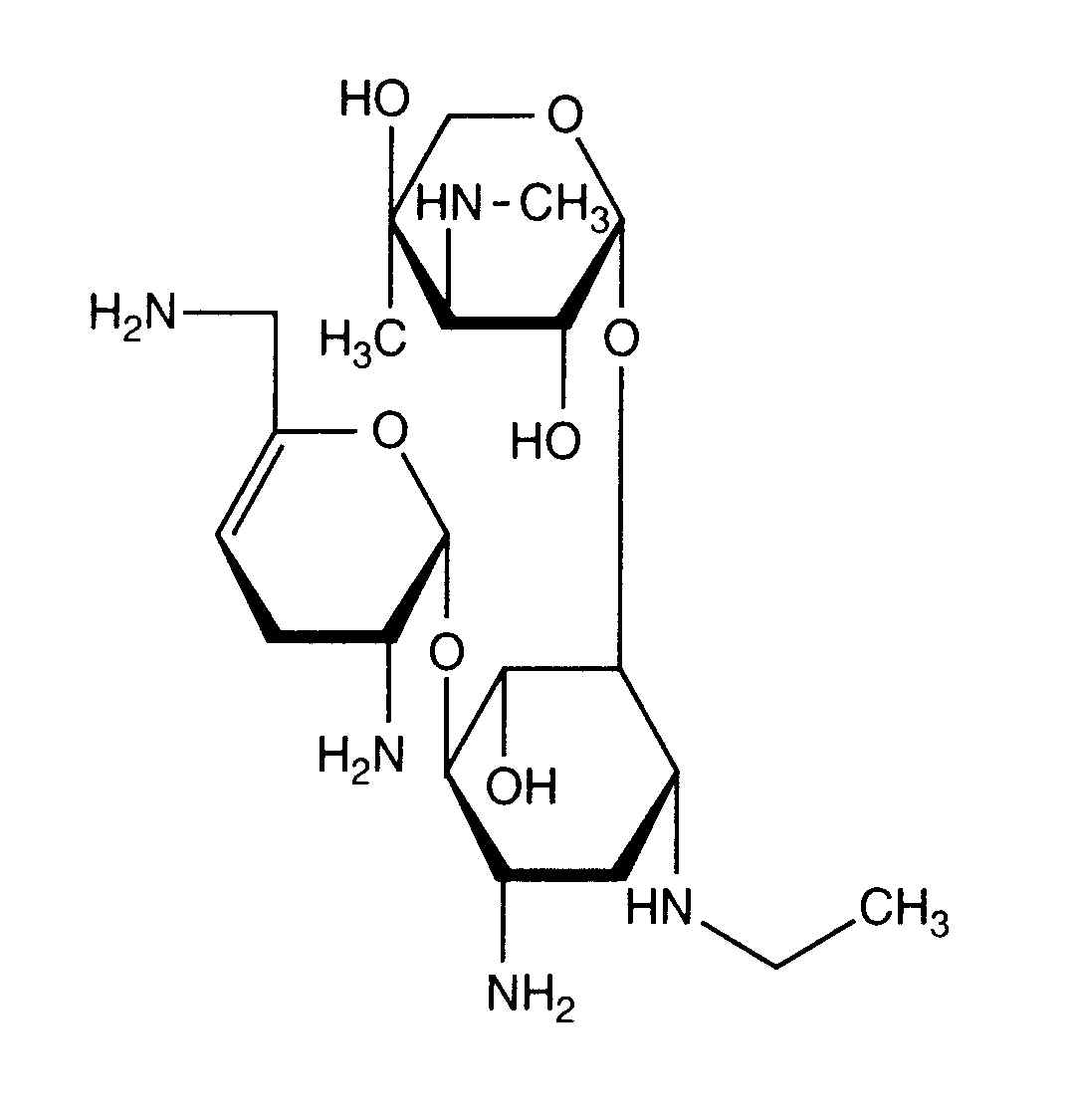
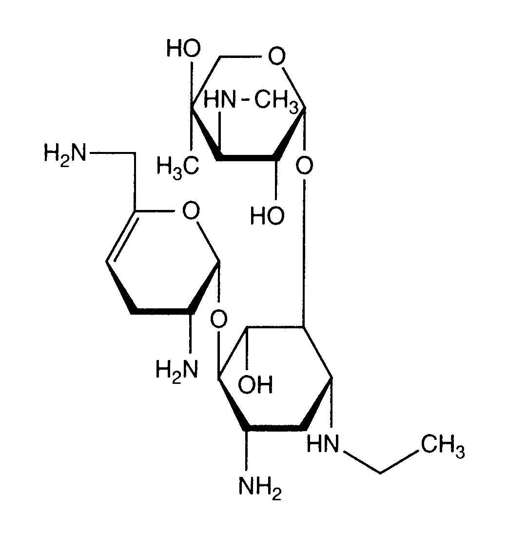
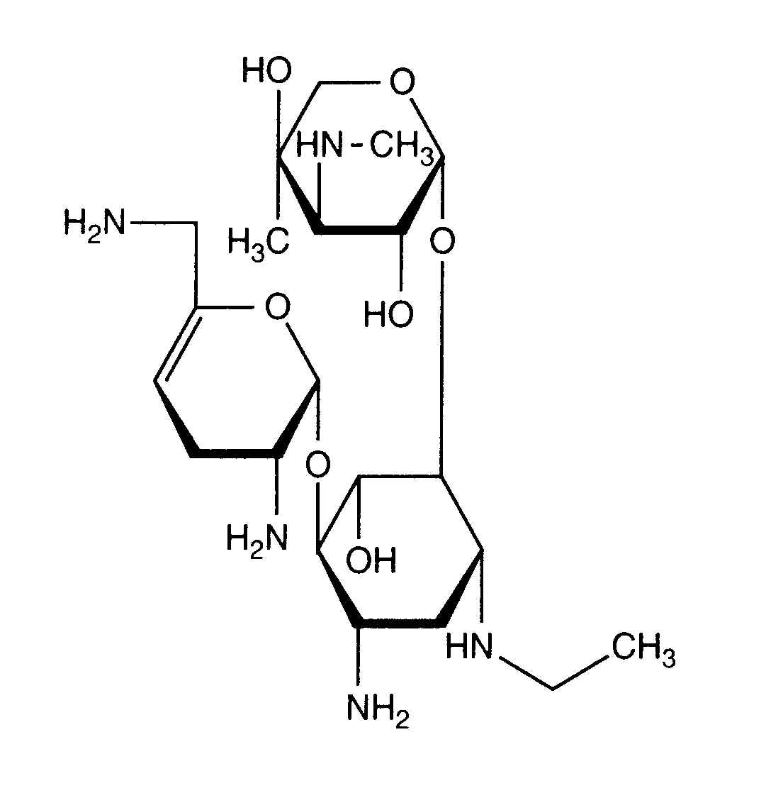
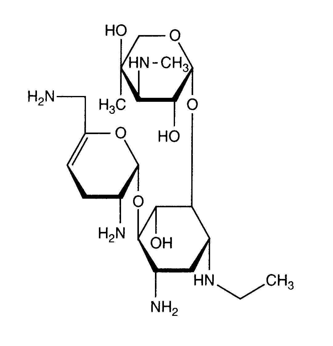
   Kjemisk struktur  

Handelsnavn   Handelsnavn     

Handelsnavn er veiledende og sammensetning av hjelpestoffer kan være forskjellig avhengig av land og produsent

Bactob India
Beltob India
Bramicil Italia
Brulamycin Ungarn
Eltol India
Fytobra India
Gernebcin Tyskland
Komitub India
Nebcin Australia, De forente arabiske emirater, Egypt, Hellas, New Zealand, Saudi-Arabia, Storbritannia
Nebcina Danmark, Marokko, Norge, Sverige
Nebcine Marokko
Nebicina Italia
Netilyn Finland, Sverige
Netromicina Portugal
Netromicine Frankrike
Netromycine Hellas, Polen, russisk, Tyrkia
Nettacin Italia
Obracin Belgia, Luxembourg, Nederland, Sveits
Tobra Tyskland
Tobra Alex Egypt
Tobra Day New Zealand
Tobra Gobens Spania
Tobracin Egypt
Tobradistin Spania
Tobramicina Italia, Portugal, Spania, Venezuela
Tobramina Brasil
Tobramycin Australia, Canada, Irland, Norge, Saudi-Arabia, Storbritannia, Tyskland, USA
Tobramycine Frankrike, Irland, Nederland
Tobrasix Østerrike
Tobrazid Tyskland
Tomycin Finland
Zetamicin Italia
Stabilitet i blandinger   Injeksjon   Stabilitet i blandinger : Netilmicin sulfate     
Beholder Oppløsningsmiddel Konsentrasjon Legemiddel Temperatur Oppbevaring Varighet av stabilitet Referanser
Glass Natriumklorid 0,9 % 3 mg/ml
Injeksjon   Netilmicin sulfate   
Injeksjon   Clindamycin phosphate 9 mg/ml
24°C
24 Tid
Lys 421
Joker
Glass Glukose 5 % 3 mg/ml
Injeksjon   Netilmicin sulfate   
Injeksjon   Clindamycin phosphate 9 mg/ml
24°C
24 Tid
Lys 421
Joker
Polyvinylklorid Natriumklorid 0,9 % 3 mg/ml
Injeksjon   Netilmicin sulfate   
Injeksjon   Clindamycin phosphate 9 mg/ml
24°C
24 Tid
Lys 421
Joker
Polyvinylklorid Glukose 5 % 3 mg/ml
Injeksjon   Netilmicin sulfate   
Injeksjon   Clindamycin phosphate 9 mg/ml
24°C
24 Tid
Lys 421
Joker

  Mentions Légales