Zadnji put ažurirano :
18/03/2026
antibiotik   Netilmicin sulfate  
injekcija
aerosol
Stabilizacija rješenja Stabilnost mješavine Stabilizacijski faktor Kompatibilnosti način davanja lijeka Bibliografija pdf
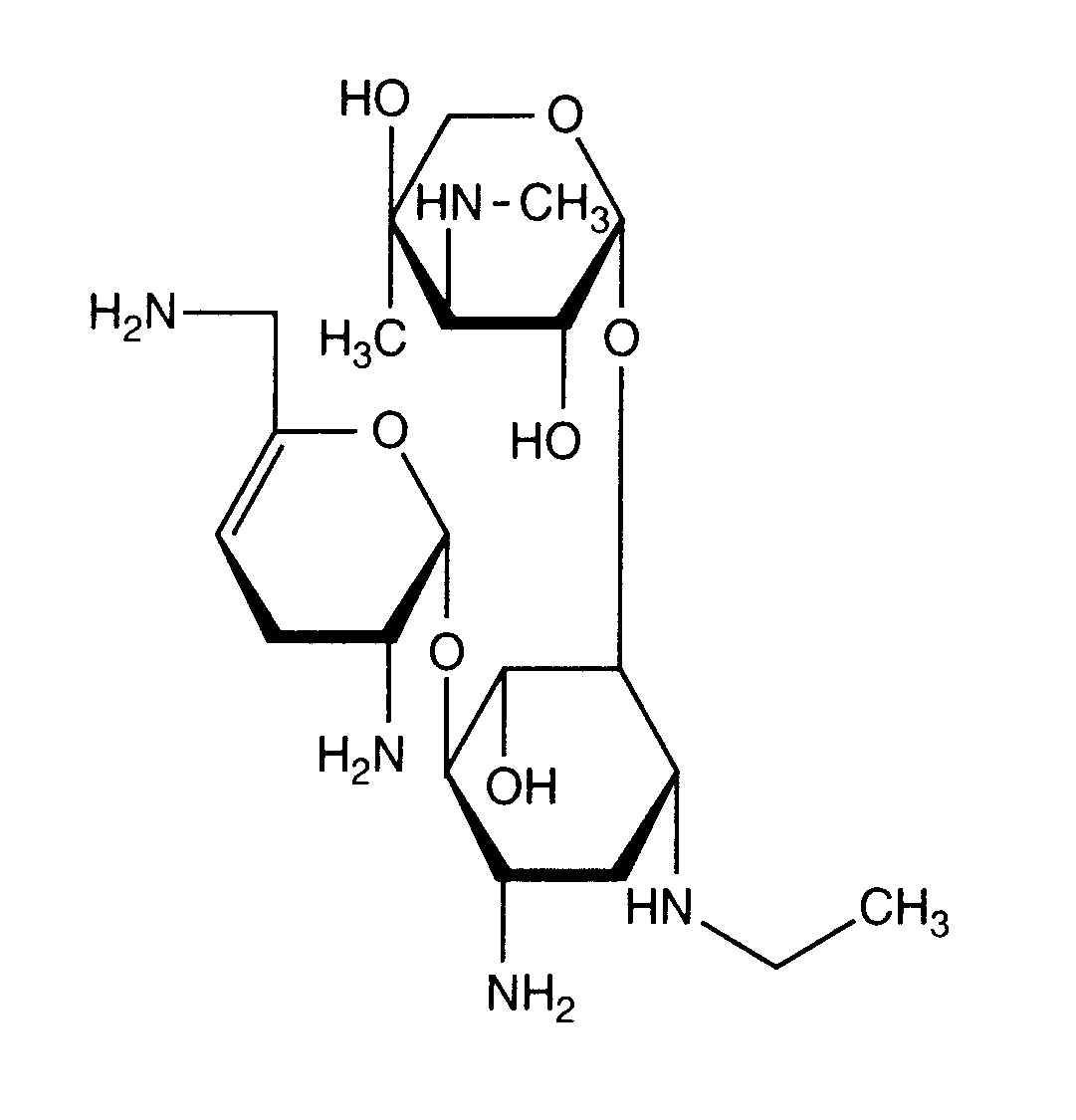
   Kemijska struktura  

Nekomercijalni   Nekomercijalni     

Zaštićeni nazivi su indikativni i sastav ekscipijensa može biti različit ovisno o državi i laboratorijima

Bactob Indija
Beltob Indija
Bramicil Italija
Brulamycin Madžarska
Eltol Indija
Fytobra Indija
Gernebcin Njemačka
Komitub Indija
Nebcin Australija, Egipat, Grčka, novi Zeland, Saudijska Arabija, Ujedinjeni Arapski Emirati, Velika Britanija
Nebcina Danska, Maroko, Norveška, Švedska
Nebcine Maroko
Nebicina Italija
Netilyn Finska, Švedska
Netromicina Portugal
Netromicine Francuska
Netromycine Grčka, Poljska, ruski, Turska
Nettacin Italija
Obracin Belgija, Luksemburg, Nizozemska, Švicarska
Tobra Njemačka
Tobra Alex Egipat
Tobra Day novi Zeland
Tobra Gobens Španjolska
Tobracin Egipat
Tobradistin Španjolska
Tobramicina Italija, Portugal, Španjolska, Venecuela
Tobramina Brazil
Tobramycin Australija, Irska, Kanada, Njemačka, Norveška, S A D, Saudijska Arabija, Velika Britanija
Tobramycine Francuska, Irska, Nizozemska
Tobrasix Austrija
Tobrazid Njemačka
Tomycin Finska
Zetamicin Italija
Stabilnost mješavine   injekcija   Stabilnost mješavine : Netilmicin sulfate     
Kontejner sredstvo za rastapanje koncentracija molekula temperatura Konzerviranje Trajanje stabilnosti Bibliografija
čaša natrijumkorid 0,9% 3 mg/ml
injekcija   Netilmicin sulfate   
injekcija   Clindamycin phosphate 9 mg/ml
24°C
24 sat
svjetlost 421
OZNAKA
čaša glukoza 5% 3 mg/ml
injekcija   Netilmicin sulfate   
injekcija   Clindamycin phosphate 9 mg/ml
24°C
24 sat
svjetlost 421
OZNAKA
polivinilklorid natrijumkorid 0,9% 3 mg/ml
injekcija   Netilmicin sulfate   
injekcija   Clindamycin phosphate 9 mg/ml
24°C
24 sat
svjetlost 421
OZNAKA
polivinilklorid glukoza 5% 3 mg/ml
injekcija   Netilmicin sulfate   
injekcija   Clindamycin phosphate 9 mg/ml
24°C
24 sat
svjetlost 421
OZNAKA

  Mentions Légales