Останнє оновлення :
18/03/2026
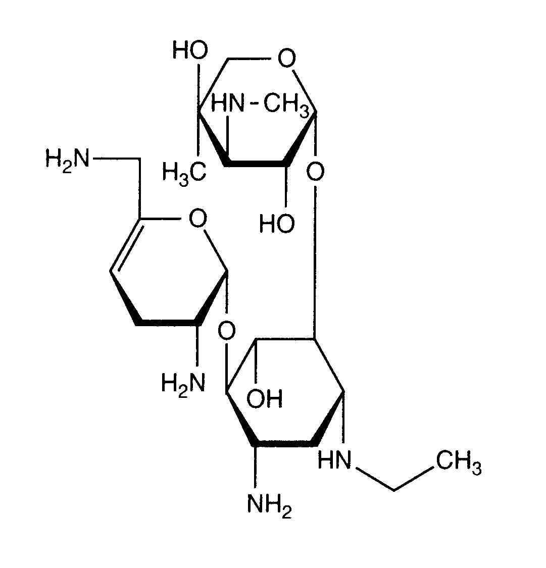
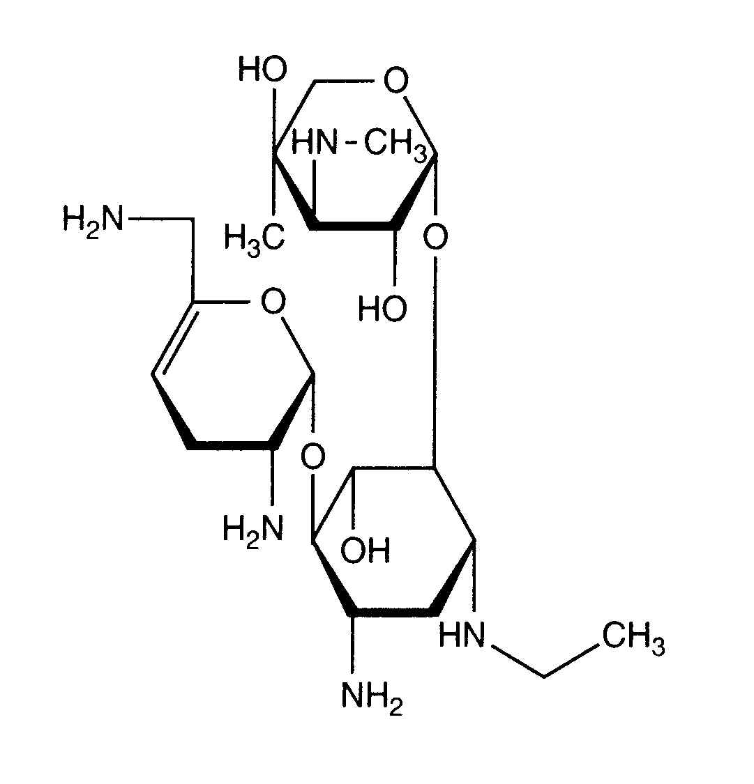
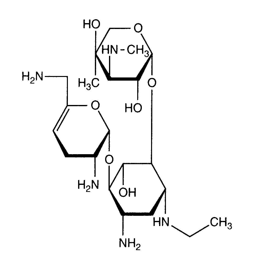
Антибіотик   Netilmicin sulfate  
ін'єкція
аерозоль
Стійкість в розчинах Стійкість сумішей Фактори, що впливають на стабільність Сумісність Шлях введення Список літератури pdf
   Хімічна структура  

Торгова назва   Торгова назва     

Торгові назви є орієнтовними, а склад допоміжних речовин може бути різним залежно від країни та виробника

Bactob Індія
Beltob Індія
Bramicil Італія
Brulamycin Угорщина
Eltol Індія
Fytobra Індія
Gernebcin Німеччина
Komitub Індія
Nebcin Єгипет, Австралія, Великобританія, Греція, Нова Зеландія, Об'єднані Арабські Емірати, Саудівська Аравія
Nebcina Данія, Марокко, Норвегія, Швеція
Nebcine Марокко
Nebicina Італія
Netilyn Фінляндія, Швеція
Netromicina Португалія
Netromicine Франція
Netromycine Греція, Польща, російський, Туреччина
Nettacin Італія
Obracin Бельгія, Люксембург, Нідерланди, Швейцарія
Tobra Німеччина
Tobra Alex Єгипет
Tobra Day Нова Зеландія
Tobra Gobens Іспанія
Tobracin Єгипет
Tobradistin Іспанія
Tobramicina Іспанія, Італія, Венесуела, Португалія
Tobramina Бразилія
Tobramycin Ірландія, Австралія, Великобританія, Канада, Німеччина, Норвегія, Саудівська Аравія, Сполучені Штати Америки
Tobramycine Ірландія, Нідерланди, Франція
Tobrasix Австрія
Tobrazid Німеччина
Tomycin Фінляндія
Zetamicin Італія
Стійкість сумішей   ін'єкція   Стійкість сумішей : Netilmicin sulfate     
Контейнер Розчинник Концентрація З'єднання температура Зберігання Тривалість стабільності Список літератури
скло Натрію хлорид 0,9% 3 mg/ml
ін'єкція   Netilmicin sulfate   
ін'єкція   Clindamycin phosphate 9 mg/ml
24°C
24 годину
світло 421
Джокер
скло Глюкоза 5% 3 mg/ml
ін'єкція   Netilmicin sulfate   
ін'єкція   Clindamycin phosphate 9 mg/ml
24°C
24 годину
світло 421
Джокер
Полівініл хлорид Натрію хлорид 0,9% 3 mg/ml
ін'єкція   Netilmicin sulfate   
ін'єкція   Clindamycin phosphate 9 mg/ml
24°C
24 годину
світло 421
Джокер
Полівініл хлорид Глюкоза 5% 3 mg/ml
ін'єкція   Netilmicin sulfate   
ін'єкція   Clindamycin phosphate 9 mg/ml
24°C
24 годину
світло 421
Джокер

  Mentions Légales