Última actualización :
18/03/2026
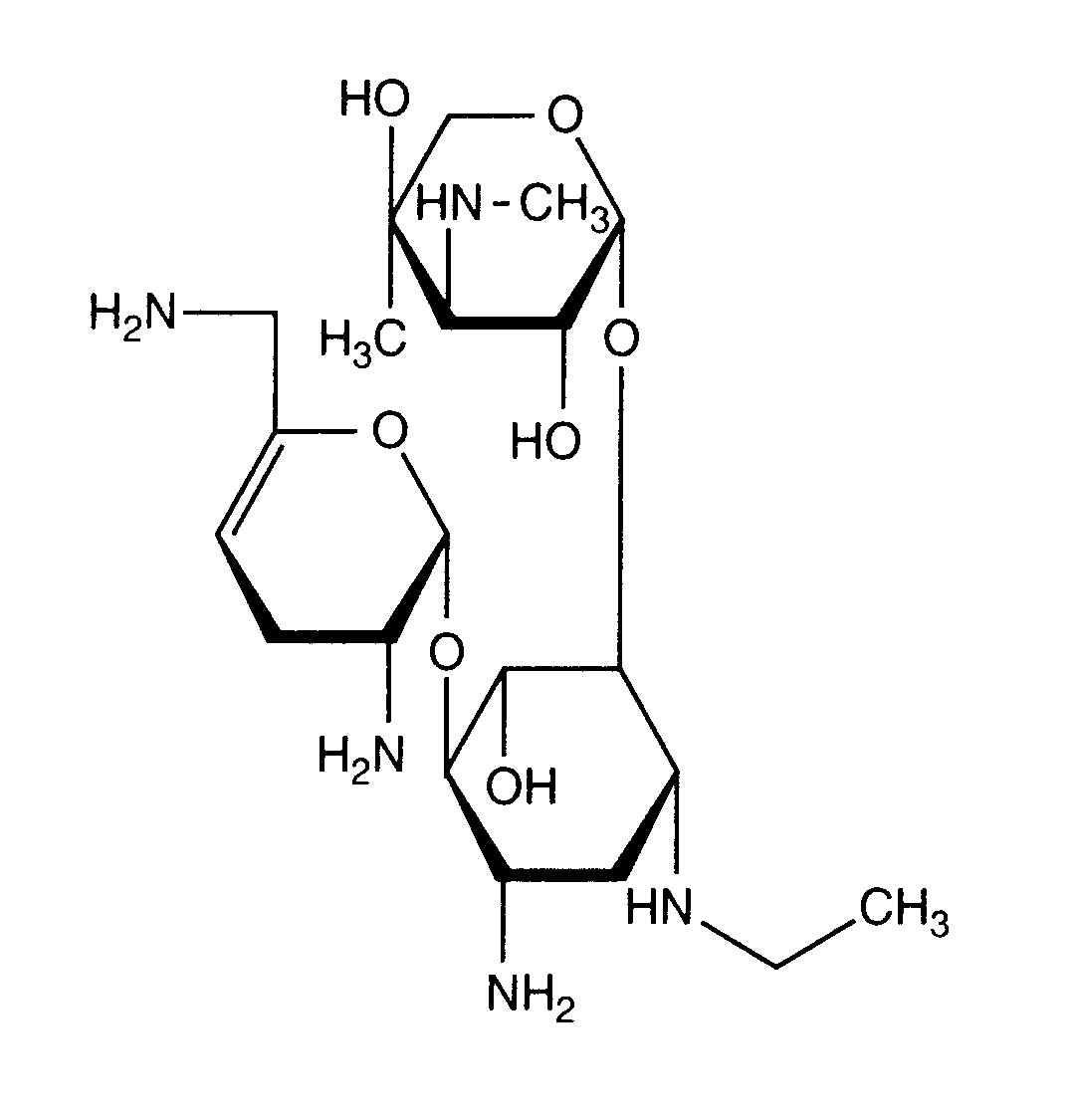
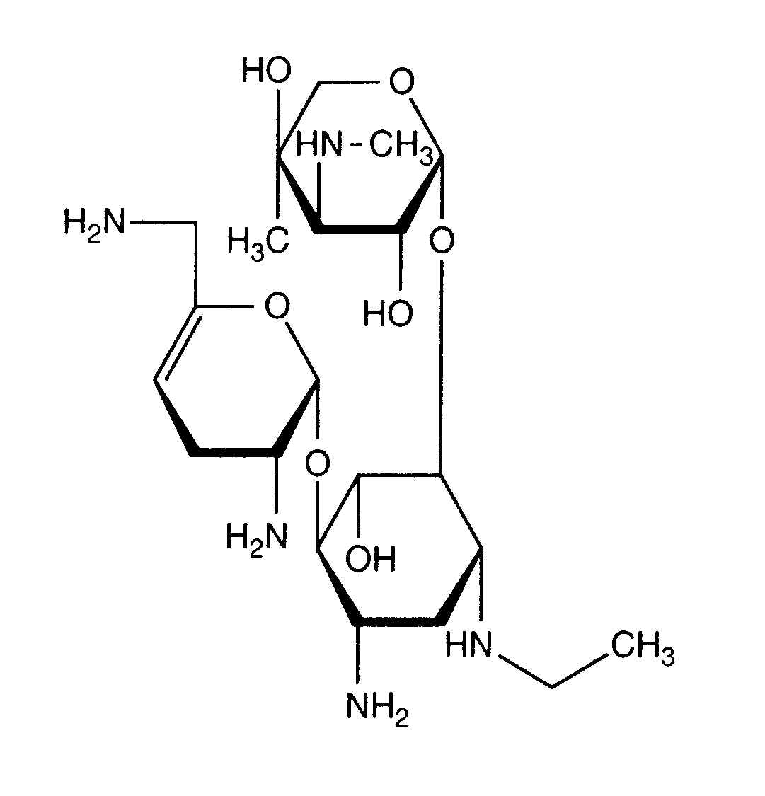
Antibiótico   Netilmicin sulfate  
Inyectables
Aerosol
Estabilidad en solucion Estabilidad en mezcla Factores que influyen sobre la estabilidad Compatibilidades método de inyección Bibliografía pdf
   Estructura química  

Nombre comercial   Nombre comercial     

Los nombres comerciales son orientativos y los excipientes de la formulación pueden ser distintos dependiendo del país y del laboratorio fabricante.

Bactob India
Beltob India
Bramicil Italia
Brulamycin Hungría
Eltol India
Fytobra India
Gernebcin Alemania
Komitub India
Nebcin Arabia Saudita, Australia, Egipto, Emiratos Árabes Unidos, Gran Bretaña, Grecia, Nueva Zelanda
Nebcina Dinamarca, Marruecos, Noruega, Suecia
Nebcine Marruecos
Nebicina Italia
Netilyn Finlandia, Suecia
Netromicina Portugal
Netromicine Francia
Netromycine Grecia, Polonia, ruso, Turquía
Nettacin Italia
Obracin Bélgica, Luxemburgo, Países Bajos, Suiza
Tobra Alemania
Tobra Alex Egipto
Tobra Day Nueva Zelanda
Tobra Gobens España
Tobracin Egipto
Tobradistin España
Tobramicina España, Italia, Portugal, Venezuela
Tobramina Brasil
Tobramycin Alemania, Arabia Saudita, Australia, Canadá, Estados Unidos de América, Gran Bretaña, Irlanda, Noruega
Tobramycine Francia, Irlanda, Países Bajos
Tobrasix Austria
Tobrazid Alemania
Tomycin Finlandia
Zetamicin Italia
Estabilidad en mezcla   Inyectables   Estabilidad en mezcla : Netilmicin sulfate     
Envase Solvente Concentración Molécula Temperatura Conservación Duración de la estabilidad Bibliografía
Vidrio Cloruro de sodio 0,9% 3 mg/ml
Inyectables   Netilmicin sulfate   
Inyectables   Clindamycin phosphate 9 mg/ml
24°C
24 Hora
Luz 421
Joker
Vidrio Glucosa 5% 3 mg/ml
Inyectables   Netilmicin sulfate   
Inyectables   Clindamycin phosphate 9 mg/ml
24°C
24 Hora
Luz 421
Joker
Cloruro de polivinilo Cloruro de sodio 0,9% 3 mg/ml
Inyectables   Netilmicin sulfate   
Inyectables   Clindamycin phosphate 9 mg/ml
24°C
24 Hora
Luz 421
Joker
Cloruro de polivinilo Glucosa 5% 3 mg/ml
Inyectables   Netilmicin sulfate   
Inyectables   Clindamycin phosphate 9 mg/ml
24°C
24 Hora
Luz 421
Joker

  Mentions Légales