Ostatnia aktualizacja :
18/03/2026
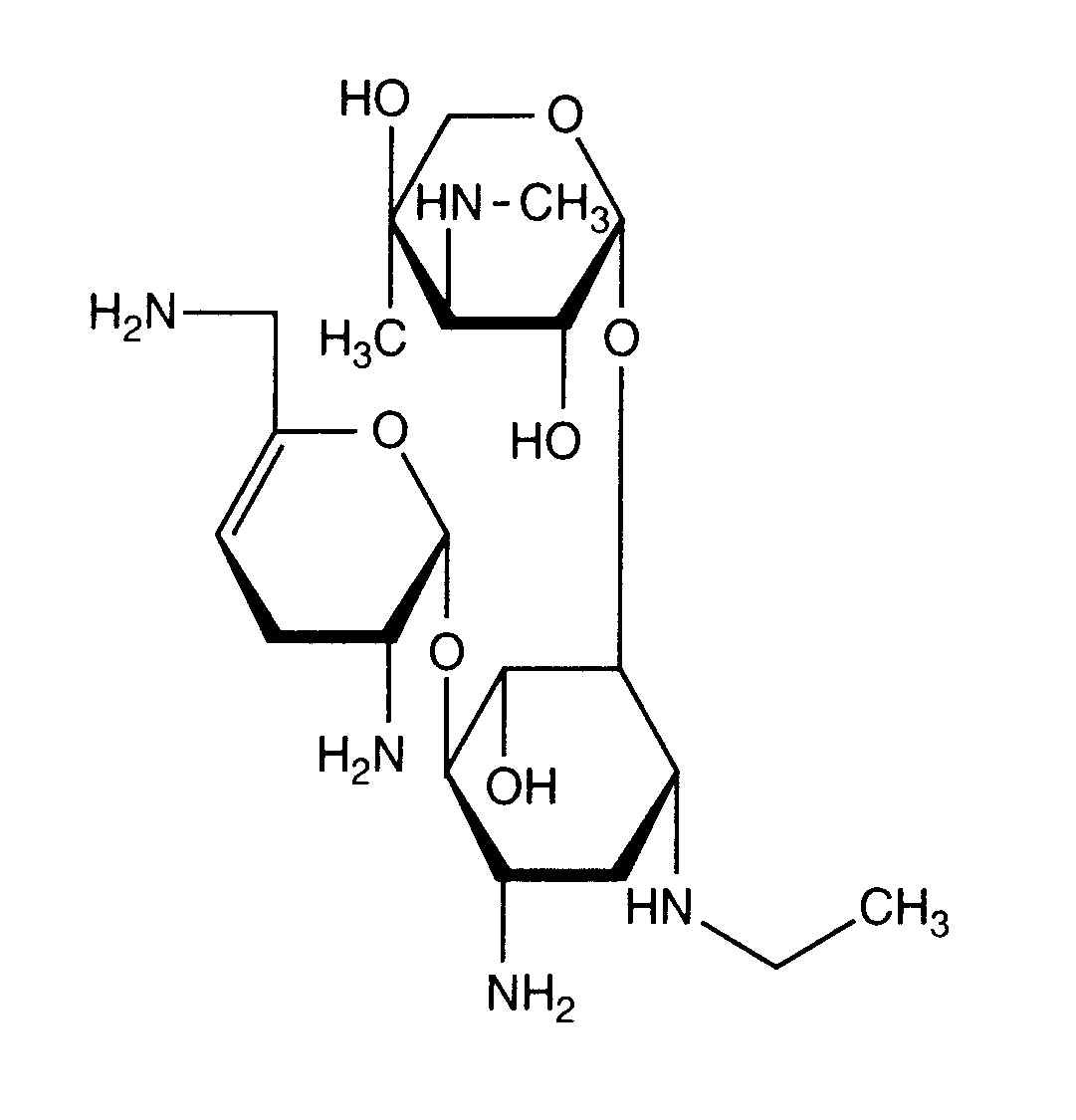
Antybiotyk   Netilmicin sulfate  
Injekcje
Aerozol
Trwałość roztworów Trwałość w mieszaninie Czynnik wpływający na trwałość Zgodność Sposób podania Bibliografia pdf
   Struktura chemiczna  

Nazwa handlowa   Nazwa handlowa     

Trade names are indicative and excipients composition can be different depending on the country and manufacturers

Bactob Indie
Beltob Indie
Bramicil Włochy
Brulamycin Węgry
Eltol Indie
Fytobra Indie
Gernebcin Niemcy
Komitub Indie
Nebcin Arabia Saudyjska, Australia, Egipt, Grecja, nowa Zelandia, Wielka Brytania, Zjednoczone Emiraty Arabskie
Nebcina Dania, Maroko, Norwegia, Szwecja
Nebcine Maroko
Nebicina Włochy
Netilyn Finlandia, Szwecja
Netromicina Portugalia
Netromicine Francja
Netromycine Grecja, Polska, rosyjski, Turcja
Nettacin Włochy
Obracin Belgia, Holandia, Luksemburg, Szwajcaria
Tobra Niemcy
Tobra Alex Egipt
Tobra Day nowa Zelandia
Tobra Gobens Hiszpania
Tobracin Egipt
Tobradistin Hiszpania
Tobramicina Hiszpania, Portugalia, Wenezuela, Włochy
Tobramina Brazylia
Tobramycin Arabia Saudyjska, Australia, Irlandia, Kanada, Niemcy, Norwegia, Stany Zjednoczone Ameryki, Wielka Brytania
Tobramycine Francja , Holandia, Irlandia
Tobrasix Austria
Tobrazid Niemcy
Tomycin Finlandia
Zetamicin Włochy
Trwałość w mieszaninie   Injekcje   Trwałość w mieszaninie : Netilmicin sulfate     
Pojemnik Rozpuszczalnik Stężenie Związek Temperatura Przechowywanie Czas trwania stabilności Bibliografia
Szkło Chlorek sodu 0,9% 3 mg/ml
Injekcje   Netilmicin sulfate   
Injekcje   Clindamycin phosphate 9 mg/ml
24°C
24 Godzina
światło 421
Joker
Szkło Glukoza 5% 3 mg/ml
Injekcje   Netilmicin sulfate   
Injekcje   Clindamycin phosphate 9 mg/ml
24°C
24 Godzina
światło 421
Joker
Polichlorek winylu Chlorek sodu 0,9% 3 mg/ml
Injekcje   Netilmicin sulfate   
Injekcje   Clindamycin phosphate 9 mg/ml
24°C
24 Godzina
światło 421
Joker
Polichlorek winylu Glukoza 5% 3 mg/ml
Injekcje   Netilmicin sulfate   
Injekcje   Clindamycin phosphate 9 mg/ml
24°C
24 Godzina
światło 421
Joker

  Mentions Légales