Последно актуализиране :
18/03/2026
Антибиотик   Netilmicin sulfate  
Инжекция/Инжекционен
Аерозол
Стабилност на разтвори Стабилност на смеси Фактори, повлияващи стабилността Съвместимост Път на въвеждане Библиография Pdf
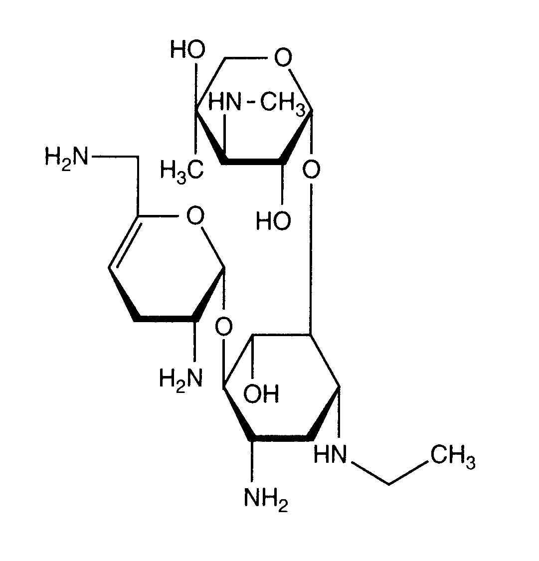
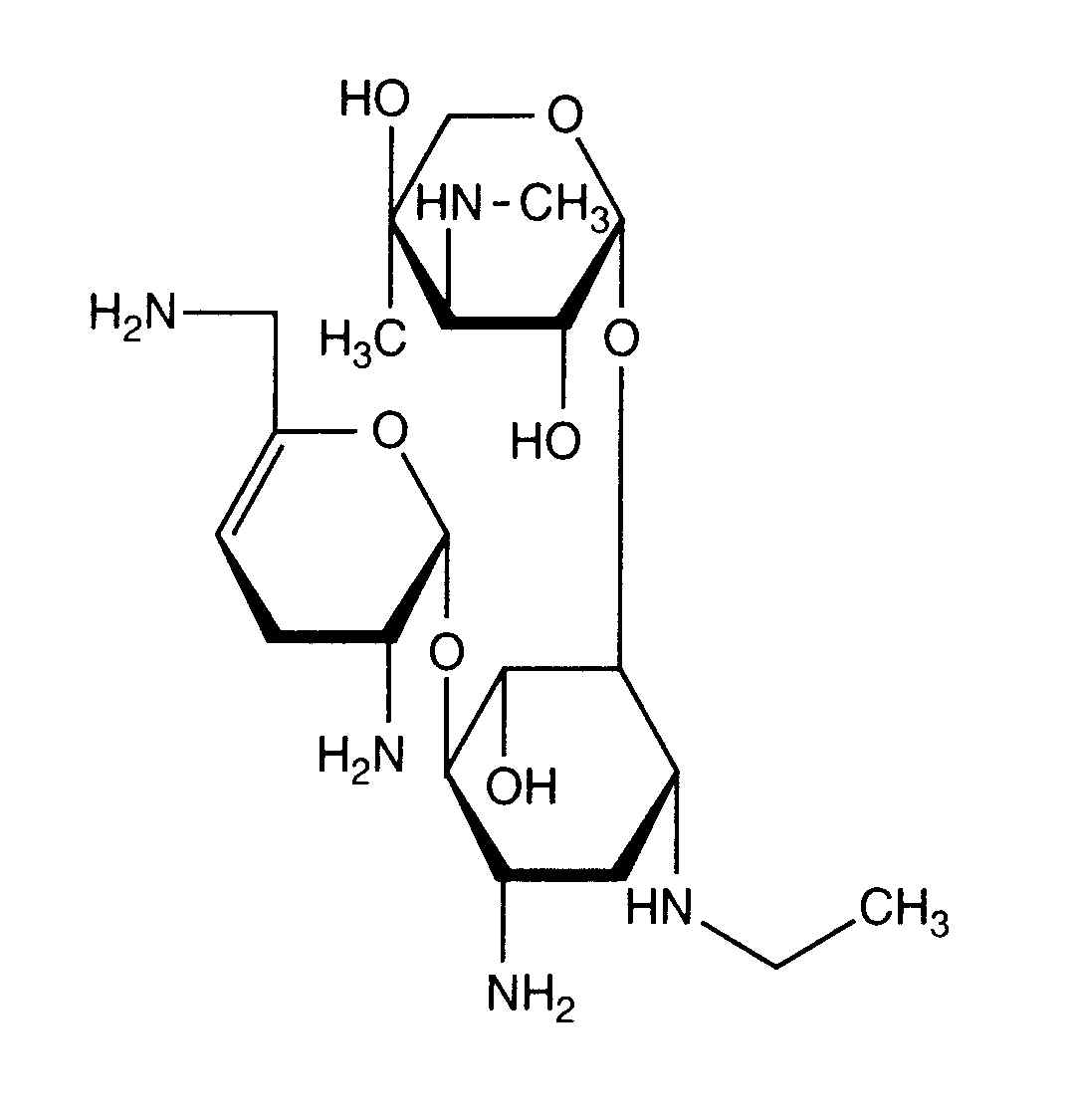
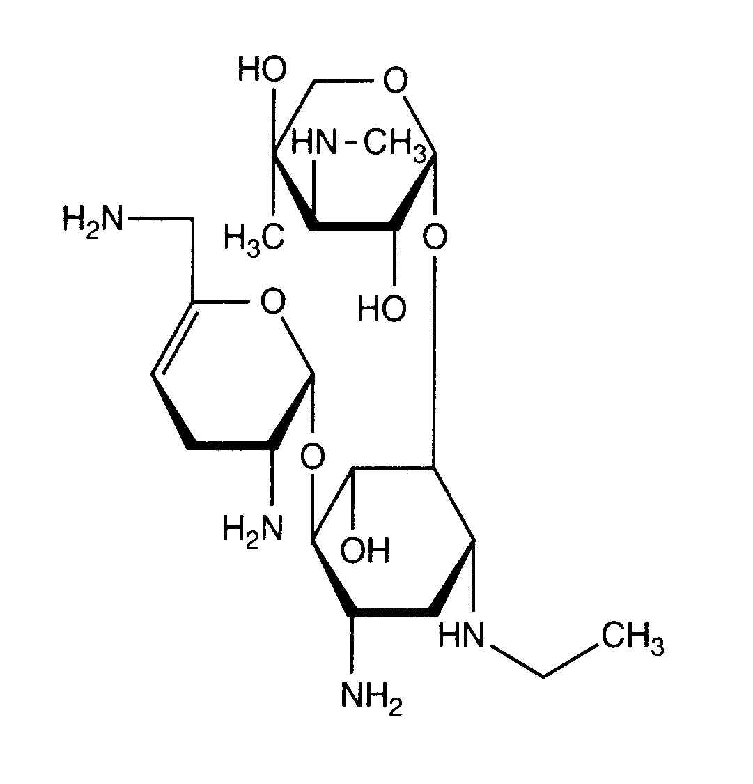
   Химична структура  

Търговско наименование   Търговско наименование     

Търговските имена са примерни и съставът на помощните вещества може да бъде различен в зависимост от държавата и лабораториите

Bactob Индия
Beltob Индия
Bramicil Италия
Brulamycin Унгария
Eltol Индия
Fytobra Индия
Gernebcin Германия
Komitub Индия
Nebcin Австралия, Великобритания, Гърция, Египет, нова Зеландия, Обединени арабски емирства, Саудитска Арабия
Nebcina Дания, Мароко, Норвегия, Швеция
Nebcine Мароко
Nebicina Италия
Netilyn Финландия, Швеция
Netromicina Португалия
Netromicine Франция
Netromycine Гърция, Полша, Русия, Турция
Nettacin Италия
Obracin Белгия, Люксенбург, Холандия, Швейцария
Tobra Германия
Tobra Alex Египет
Tobra Day нова Зеландия
Tobra Gobens Испания
Tobracin Египет
Tobradistin Испания
Tobramicina Венецуела, Испания, Италия, Португалия
Tobramina Бразилия
Tobramycin Австралия, Великобритания, Германия, Ирландия, Канада, Норвегия, Саудитска Арабия, Съединени Американски щати / САЩ
Tobramycine Ирландия, Франция, Холандия
Tobrasix Австрия
Tobrazid Германия
Tomycin Финландия
Zetamicin Италия
Стабилност на смеси   Инжекция/Инжекционен   Стабилност на смеси : Netilmicin sulfate     
Контейнер Разтворител Концентрация Състав / молекула Температура Съхранение Продължителност на стабилността Библиография
Стъкло Sodium chloride 0,9% 3 mg/ml
Инжекция/Инжекционен   Netilmicin sulfate   
Инжекция/Инжекционен   Clindamycin phosphate 9 mg/ml
24°C
24 Час
Светлина 421
Жокер
Стъкло Glucose 5% 3 mg/ml
Инжекция/Инжекционен   Netilmicin sulfate   
Инжекция/Инжекционен   Clindamycin phosphate 9 mg/ml
24°C
24 Час
Светлина 421
Жокер
Поливинил хлорид Sodium chloride 0,9% 3 mg/ml
Инжекция/Инжекционен   Netilmicin sulfate   
Инжекция/Инжекционен   Clindamycin phosphate 9 mg/ml
24°C
24 Час
Светлина 421
Жокер
Поливинил хлорид Glucose 5% 3 mg/ml
Инжекция/Инжекционен   Netilmicin sulfate   
Инжекция/Инжекционен   Clindamycin phosphate 9 mg/ml
24°C
24 Час
Светлина 421
Жокер

  Mentions Légales