Последнее обновление :
17/12/2025
Антибиотик   Flucloxacillin sodium  
Инъекция
Стабильность растворов Стабильность смесей Факторы, которые влияют на стабильность Совместимость Способы введения Библиография pdf
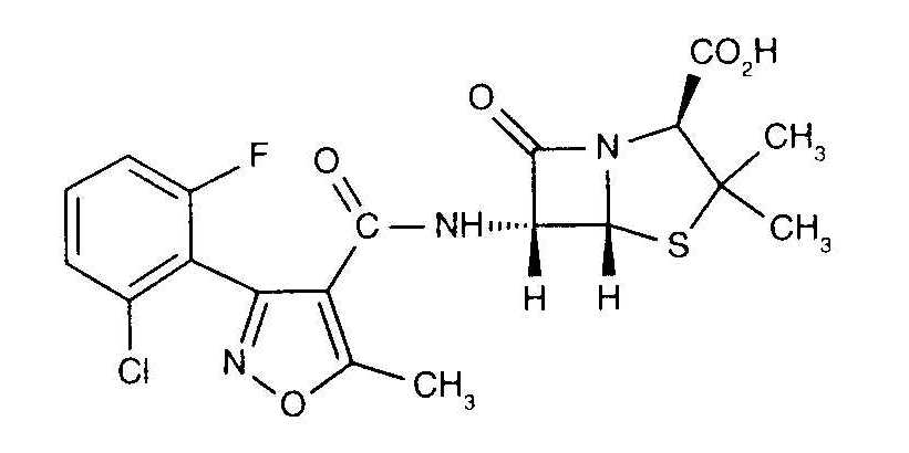
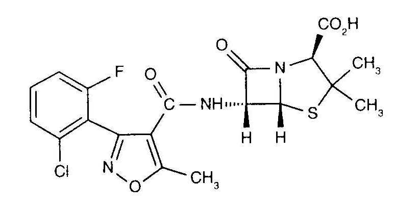
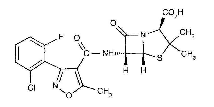
   Химическая структура  

Товарное название   Товарное название     

Trade names are indicative and excipients composition can be different depending on the country and manufacturers

Astaph Марокко
Betabiotic Италия
DBL flucloxacillin sodium Австралия
Flix Турция
Floxam Марокко
Floxapen Австрия, Бельгия, Голландия, Италия, Марокко, Польша, Португалия, Саудовская Аравия, Соединённые Штаты Америки, Швейцария
Flucloxacillin Австралия, Великобритания, Германия, Италия
Flucloxacilline Бельгия, Голландия, Франция
Flucloxin новая Зеландия
Ladropen Соединённые Штаты Америки
Stafoxil Голландия
Staphylex Германия
Стабильность растворов   Инъекция   Стабильность растворов : Flucloxacillin sodium     
Упаковка Растворитель Концентрация Температура Хранение Продолжительность стабильности Ссылки
Стекло Вода для инъекций 5 mg/ml 2-8°C Защищён от света
7 День
4922
Уровень доказательности D

Стекло NaCl 0.9% + фенол 0.4% 5 mg/ml 2-8°C Защищён от света
7 День
4922
Уровень доказательности D

Поливинилхлорид Натрия хлорид 0,9% 120 mg/ml 2-8°C Не указано
6 День
3189
Уровень доказательности D

Поливинилхлорид Натрия хлорид 0,9% 20 mg/ml -27°C Защищён от света
270 День
1349
Уровень доказательности D

Поливинилхлорид Натрия хлорид 0,9% 5 & 10 & 20 mg/ml 5°C Защищён от света
21 День
1494
Уровень доказательности D

Поливинилхлорид Глюкоза 5% 20 mg/ml -27°C Защищён от света
90 День
1349
Уровень доказательности D

Полипропилен Натрия хлорид 0,9% 10 mg/ml 2-8°C Защищён от света
14 День
1845
Уровень доказательности B +

Полипропилен Натрия хлорид 0,9% 10 mg/ml 25°C Защищён от света
4 День
1845
Уровень доказательности B +

Шприц полипропилен Вода для инъекций 140 mg/ml 4°C-8°C Защищён от света
9 День
1300
Биологический метод

Шприц полипропилен Вода для инъекций 5 mg/ml 2-8°C Защищён от света
2 День
4922
Уровень доказательности D

Шприц полипропилен NaCl 0.9% + фенол 0.4% 5 mg/ml 2-8°C Защищён от света
2 День
4922
Уровень доказательности D

Полиизопреновый эластомер Натрия хлорид 0,9% 50 mg/ml 2-8°C Не указано
6 День
3189
Уровень доказательности D

Полиизопреновый эластомер NaCl 0,9% цитрат тампона 0,3% pH7 10 & 50 mg/ml 2-8°C Не указано
13 День
4218
Уровень доказательности A +

Полиизопреновый эластомер NaCl 0,9% цитрат тампона 0,3% pH7 10 & 50 mg/ml 32°C Не указано
24 Час
4218
Уровень доказательности A +

Полиизопреновый эластомер NaCl 0,9% цитрат тампона 0,3% pH7 5 & 60 mg/ml 2-8°C Защищён от света
6 День
4590
Уровень доказательности A

Полиизопреновый эластомер NaCl 0,9% цитрат тампона 0,3% pH7 5 & 60 mg/ml 37°C Защищён от света
24 Час
4590
Уровень доказательности A

Силиконовый эластомер NaCl 0,9% цитрат тампона 0,3% pH7 10 & 50 mg/ml 2-8°C Не указано
13 День
4218
Уровень доказательности A +

Силиконовый эластомер NaCl 0,9% цитрат тампона 0,3% pH7 10 & 50 mg/ml 32°C Не указано
24 Час
4218
Уровень доказательности A +


  Mentions Légales