Viimeisin päivitys :
27/11/2025
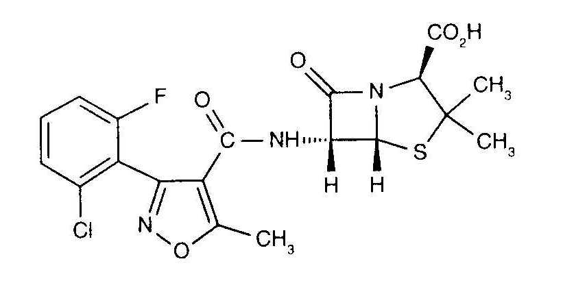
Antibiootit   Flucloxacillin sodium  
Injektioneste
Stabilius liuoksessa Stabilius seoksissa Tekijät, jotka vaikuttavat stabiliuteen Yhteensopivuus Antotapa Viitteet pdf
   Kemiallinen rakenne  

Kauppanimi   Kauppanimi     

Trade names are indicative and excipients composition can be different depending on the country and manufacturers

Astaph Marokko
Betabiotic Italia
DBL flucloxacillin sodium Australia
Flix Turkki
Floxam Marokko
Floxapen Belgia, Hollanti, Italia, Itävalta, Marokko, Portugali, Puola, Saudi-Arabia, Sveitsi, Yhdysvallat
Flucloxacillin Australia, Iso-Britannia, Italia, Saksa
Flucloxacilline Belgia, Hollanti, Ranska
Flucloxin New Zealand
Ladropen Yhdysvallat
Stafoxil Hollanti
Staphylex Saksa
Stabilius liuoksessa   Injektioneste   Stabilius liuoksessa : Flucloxacillin sodium     
Astia Liuotin Konsentraatio Lämpötila Säilytys Vakauden kesto Viitteet
Lasi Injektionesteisiin käytettävä vesi 5 mg/ml 2-8°C Suojattava valolta
7 Päivä
4922
Näytön laajuus D

Lasi NaCl 0.9% + fenoli 0.4% 5 mg/ml 2-8°C Suojattava valolta
7 Päivä
4922
Näytön laajuus D

Polyvinyylikloridi Natriumkloridi 0,9% 120 mg/ml 2-8°C Ei määritetty
6 Päivä
3189
Näytön laajuus D

Polyvinyylikloridi Natriumkloridi 0,9% 20 mg/ml -27°C Suojattava valolta
270 Päivä
1349
Näytön laajuus D

Polyvinyylikloridi Natriumkloridi 0,9% 5 & 10 & 20 mg/ml 5°C Suojattava valolta
21 Päivä
1494
Näytön laajuus D

Polyvinyylikloridi Glukoosi 5% 20 mg/ml -27°C Suojattava valolta
90 Päivä
1349
Näytön laajuus D

Polypropyleeni Natriumkloridi 0,9% 10 mg/ml 2-8°C Suojattava valolta
14 Päivä
1845
Näytön laajuus B+

Polypropyleeni Natriumkloridi 0,9% 10 mg/ml 25°C Suojattava valolta
4 Päivä
1845
Näytön laajuus B+

Ruisku  polypropeeni Injektionesteisiin käytettävä vesi 140 mg/ml 4°C-8°C Suojattava valolta
9 Päivä
1300
Biologinen menetelmä

Ruisku  polypropeeni Injektionesteisiin käytettävä vesi 5 mg/ml 2-8°C Suojattava valolta
2 Päivä
4922
Näytön laajuus D

Ruisku  polypropeeni NaCl 0.9% + fenoli 0.4% 5 mg/ml 2-8°C Suojattava valolta
2 Päivä
4922
Näytön laajuus D

Polyisopreeni elastomeeri Natriumkloridi 0,9% 50 mg/ml 2-8°C Ei määritetty
6 Päivä
3189
Näytön laajuus D

Polyisopreeni elastomeeri NaCl 0,9% tamponisitraatti 0,3% pH7 10 & 50 mg/ml 2-8°C Ei määritetty
13 Päivä
4218
Näytön laajuus A+

Polyisopreeni elastomeeri NaCl 0,9% tamponisitraatti 0,3% pH7 10 & 50 mg/ml 32°C Ei määritetty
24 tunti
4218
Näytön laajuus A+

Polyisopreeni elastomeeri NaCl 0,9% tamponisitraatti 0,3% pH7 5 & 60 mg/ml 2-8°C Suojattava valolta
6 Päivä
4590
Näytön laajuus A

Polyisopreeni elastomeeri NaCl 0,9% tamponisitraatti 0,3% pH7 5 & 60 mg/ml 37°C Suojattava valolta
24 tunti
4590
Näytön laajuus A

Silikoni elastomeeri NaCl 0,9% tamponisitraatti 0,3% pH7 10 & 50 mg/ml 2-8°C Ei määritetty
13 Päivä
4218
Näytön laajuus A+

Silikoni elastomeeri NaCl 0,9% tamponisitraatti 0,3% pH7 10 & 50 mg/ml 32°C Ei määritetty
24 tunti
4218
Näytön laajuus A+


  Mentions Légales