Poslední aktualizace :
27/11/2025
Antibiotikum   Flucloxacillin sodium  
injekce
Stabilita roztoků Stabilita směsí Faktory ovlivňující stabilitu Kompatibilita Způsoby aplikace Odkazy pdf
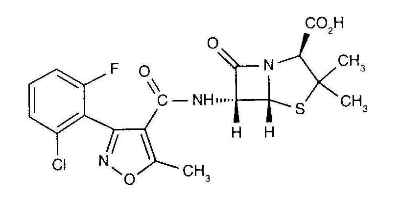
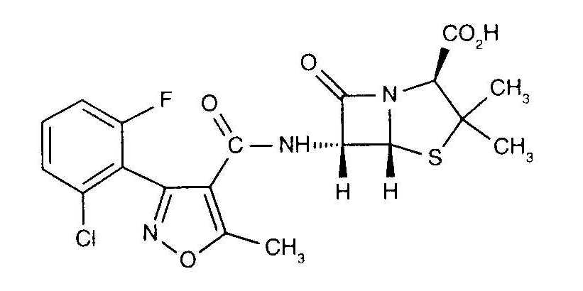
   Chemický vzorec  

Obchodní název   Obchodní název     

Trade names are indicative and excipients composition can be different depending on the country and manufacturers

Astaph Maroko
Betabiotic Itálie
DBL flucloxacillin sodium Austrálie
Flix Turecko
Floxam Maroko
Floxapen Belgie, Itálie, Maroko, Nizozemsko, Polsko, Portugalsko, Rakousko, Saúdská Arábie, Švýcarsko, USA
Flucloxacillin Austrálie, Itálie, NÏmecko, Velká Británie
Flucloxacilline Belgie, Francie, Nizozemsko
Flucloxin nový Zéland
Ladropen USA
Stafoxil Nizozemsko
Staphylex NÏmecko
Stabilita roztoků   injekce   Stabilita roztoků : Flucloxacillin sodium     
Obal RozpouötÏdlo Koncentrace Teplota Uchovávání Trvání stability Odkazy
Sklo Voda pro injekci 5 mg/ml 2-8°C Chráněno před světlem
7 Den
4922
Úroveň zkoušky D

Sklo NaCl 0.9% + fenol 0.4% 5 mg/ml 2-8°C Chráněno před světlem
7 Den
4922
Úroveň zkoušky D

Polyvinyl chlorid Chlorid sodný 0,9% 120 mg/ml 2-8°C Nespecifikováno
6 Den
3189
Úroveň zkoušky D

Polyvinyl chlorid Chlorid sodný 0,9% 20 mg/ml -27°C Chráněno před světlem
270 Den
1349
Úroveň zkoušky D

Polyvinyl chlorid Chlorid sodný 0,9% 5 & 10 & 20 mg/ml 5°C Chráněno před světlem
21 Den
1494
Úroveň zkoušky D

Polyvinyl chlorid GlukÛza 5% 20 mg/ml -27°C Chráněno před světlem
90 Den
1349
Úroveň zkoušky D

polypropylen Chlorid sodný 0,9% 10 mg/ml 2-8°C Chráněno před světlem
14 Den
1845
Úroveň zkoušky B+

polypropylen Chlorid sodný 0,9% 10 mg/ml 25°C Chráněno před světlem
4 Den
1845
Úroveň zkoušky B+

stříkačka polypropylen Voda pro injekci 140 mg/ml 4°C-8°C Chráněno před světlem
9 Den
1300
Biologická metoda

stříkačka polypropylen Voda pro injekci 5 mg/ml 2-8°C Chráněno před světlem
2 Den
4922
Úroveň zkoušky D

stříkačka polypropylen NaCl 0.9% + fenol 0.4% 5 mg/ml 2-8°C Chráněno před světlem
2 Den
4922
Úroveň zkoušky D

Polyisoprenový elastomer Chlorid sodný 0,9% 50 mg/ml 2-8°C Nespecifikováno
6 Den
3189
Úroveň zkoušky D

Polyisoprenový elastomer NaCl 0,9% tampon citrát 0,3% pH7 10 & 50 mg/ml 2-8°C Nespecifikováno
13 Den
4218
Úroveň zkoušky A+

Polyisoprenový elastomer NaCl 0,9% tampon citrát 0,3% pH7 10 & 50 mg/ml 32°C Nespecifikováno
24 Hodina
4218
Úroveň zkoušky A+

Polyisoprenový elastomer NaCl 0,9% tampon citrát 0,3% pH7 5 & 60 mg/ml 2-8°C Chráněno před světlem
6 Den
4590
Úroveň zkoušky A

Polyisoprenový elastomer NaCl 0,9% tampon citrát 0,3% pH7 5 & 60 mg/ml 37°C Chráněno před světlem
24 Hodina
4590
Úroveň zkoušky A

Silikonový elastomer NaCl 0,9% tampon citrát 0,3% pH7 10 & 50 mg/ml 2-8°C Nespecifikováno
13 Den
4218
Úroveň zkoušky A+

Silikonový elastomer NaCl 0,9% tampon citrát 0,3% pH7 10 & 50 mg/ml 32°C Nespecifikováno
24 Hodina
4218
Úroveň zkoušky A+


  Mentions Légales