Ultimo aggiornamento :
18/03/2026
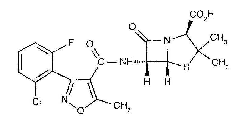
Antibiotico   Flucloxacillin sodium  
Iniezione
Stabilità in soluzione Stabilità in miscela Fattori che influenzano la stabilità Compatibilità metodo di iniezione Bibliografia pdf
   Struttura chimica  

Nome commerciale   Nome commerciale     

Trade names are indicative and excipients composition can be different depending on the country and manufacturers

Astaph Marocco
Betabiotic Italia
DBL flucloxacillin sodium Australia
Flix Turchia
Floxam Marocco
Floxapen Arabia Saudita, Austria, Belgio, Italia, Marocco, Paesi Bassi, Polonia, Portogallo, Stati Uniti d’America, Svizzera
Flucloxacillin Australia, Germania, Gran Bretagna, Italia
Flucloxacilline Belgio, Francia, Paesi Bassi
Flucloxin nuova Zelanda
Ladropen Stati Uniti d’America
Stafoxil Paesi Bassi
Staphylex Germania
Stabilità in soluzione   Iniezione   Stabilità in soluzione : Flucloxacillin sodium     
contenitore Solvente Concentrazione Temperatura Conservazione Durata della stabilità Bibliografia
Vetro Acqua per preparato iniettabile 5 mg/ml 2-8°C Al riparo dalla luce
7 Giorno
4922
Livello di evidenza D

Vetro NaCl 0.9% + fenolo 0.4% 5 mg/ml 2-8°C Al riparo dalla luce
7 Giorno
4922
Livello di evidenza D

Cloruro di polivinile Cloruro di sodio 0,9% 120 mg/ml 2-8°C Non precisata
6 Giorno
3189
Livello di evidenza D

Cloruro di polivinile Cloruro di sodio 0,9% 20 mg/ml -27°C Al riparo dalla luce
270 Giorno
1349
Livello di evidenza D

Cloruro di polivinile Cloruro di sodio 0,9% 5 & 10 & 20 mg/ml 5°C Al riparo dalla luce
21 Giorno
1494
Livello di evidenza D

Cloruro di polivinile Glucosio 5% 20 mg/ml -27°C Al riparo dalla luce
90 Giorno
1349
Livello di evidenza D

Polipropilene Cloruro di sodio 0,9% 10 mg/ml 2-8°C Al riparo dalla luce
14 Giorno
1845
Livello di evidenza B+

Polipropilene Cloruro di sodio 0,9% 10 mg/ml 25°C Al riparo dalla luce
4 Giorno
1845
Livello di evidenza B+

siringa polipropilene Acqua per preparato iniettabile 140 mg/ml 4°C-8°C Al riparo dalla luce
9 Giorno
1300
Analisi biologica

siringa polipropilene Acqua per preparato iniettabile 5 mg/ml 2-8°C Al riparo dalla luce
2 Giorno
4922
Livello di evidenza D

siringa polipropilene NaCl 0.9% + fenolo 0.4% 5 mg/ml 2-8°C Al riparo dalla luce
2 Giorno
4922
Livello di evidenza D

Elastomero poliisoprenico Cloruro di sodio 0,9% 50 mg/ml 2-8°C Non precisata
6 Giorno
3189
Livello di evidenza D

Elastomero poliisoprenico NaCl tampone allo 0,9% citrato 0,3% pH7 10 & 50 mg/ml 2-8°C Non precisata
13 Giorno
4218
Livello di evidenza A+

Elastomero poliisoprenico NaCl tampone allo 0,9% citrato 0,3% pH7 10 & 50 mg/ml 32°C Non precisata
24 Ora
4218
Livello di evidenza A+

Elastomero poliisoprenico NaCl tampone allo 0,9% citrato 0,3% pH7 5 & 60 mg/ml 2-8°C Al riparo dalla luce
6 Giorno
4590
Livello di evidenza A

Elastomero poliisoprenico NaCl tampone allo 0,9% citrato 0,3% pH7 5 & 60 mg/ml 37°C Al riparo dalla luce
24 Ora
4590
Livello di evidenza A

Elastomero siliconico NaCl tampone allo 0,9% citrato 0,3% pH7 10 & 50 mg/ml 2-8°C Non precisata
13 Giorno
4218
Livello di evidenza A+

Elastomero siliconico NaCl tampone allo 0,9% citrato 0,3% pH7 10 & 50 mg/ml 32°C Non precisata
24 Ora
4218
Livello di evidenza A+


  Mentions Légales