Last update :
18/03/2026
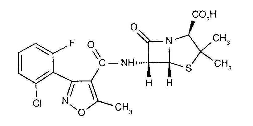
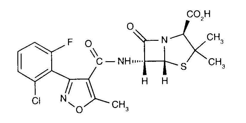
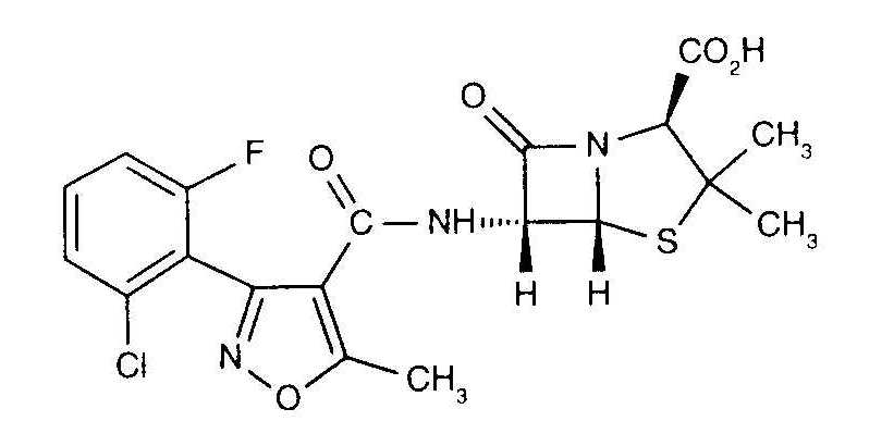
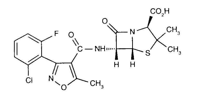
Antibiotic   Flucloxacillin sodium  
injection
Stability in solutions Stability of mixtures Factors which affect stability Compatibility Route of administration References pdf
   Chemical structure  

Tradename   Tradename     

Trade names are indicative and excipients composition can be different depending on the country and manufacturers

Astaph Morocco
Betabiotic Italy
DBL flucloxacillin sodium Australia
Flix Turkey
Floxam Morocco
Floxapen Austria, Belgium, Italy, Morocco, Netherlands, Poland, Portugal, Saudi Arabia, Switzerland, United States of America
Flucloxacillin Australia, Germany, Great Britain, Italy
Flucloxacilline Belgium, France, Netherlands
Flucloxin New Zealand
Ladropen United States of America
Stafoxil Netherlands
Staphylex Germany
Stability in solutions   injection   Stability in solutions : Flucloxacillin sodium     
Container Solvent Concentration Temperature Storage Duration of stability References
Glass Water for Injection 5 mg/ml 2-8°C Protect from light
7 Day
4922
Level of evidence D

Glass NaCl 0.9% + phenol 0.4% 5 mg/ml 2-8°C Protect from light
7 Day
4922
Level of evidence D

Polyvinyl chloride Sodium chloride 0,9% 120 mg/ml 2-8°C Not specified
6 Day
3189
Level of evidence D

Polyvinyl chloride Sodium chloride 0,9% 20 mg/ml -27°C Protect from light
270 Day
1349
Level of evidence D

Polyvinyl chloride Sodium chloride 0,9% 5 & 10 & 20 mg/ml 5°C Protect from light
21 Day
1494
Level of evidence D

Polyvinyl chloride Glucose 5% 20 mg/ml -27°C Protect from light
90 Day
1349
Level of evidence D

Polypropylene Sodium chloride 0,9% 10 mg/ml 2-8°C Protect from light
14 Day
1845
Level of evidence B+

Polypropylene Sodium chloride 0,9% 10 mg/ml 25°C Protect from light
4 Day
1845
Level of evidence B+

Polypropylen Syringe Water for Injection 140 mg/ml 4°C-8°C Protect from light
9 Day
1300
Biological analysis

Polypropylen Syringe Water for Injection 5 mg/ml 2-8°C Protect from light
2 Day
4922
Level of evidence D

Polypropylen Syringe NaCl 0.9% + phenol 0.4% 5 mg/ml 2-8°C Protect from light
2 Day
4922
Level of evidence D

Polyisoprene elastomer Sodium chloride 0,9% 50 mg/ml 2-8°C Not specified
6 Day
3189
Level of evidence D

Polyisoprene elastomer NaCl 0.9% citrate buffer 0.3% pH7 10 & 50 mg/ml 2-8°C Not specified
13 Day
4218
Level of evidence A+

Polyisoprene elastomer NaCl 0.9% citrate buffer 0.3% pH7 10 & 50 mg/ml 32°C Not specified
24 Hour
4218
Level of evidence A+

Polyisoprene elastomer NaCl 0.9% citrate buffer 0.3% pH7 5 & 60 mg/ml 2-8°C Protect from light
6 Day
4590
Level of evidence A

Polyisoprene elastomer NaCl 0.9% citrate buffer 0.3% pH7 5 & 60 mg/ml 37°C Protect from light
24 Hour
4590
Level of evidence A

Silicone elastomer NaCl 0.9% citrate buffer 0.3% pH7 10 & 50 mg/ml 2-8°C Not specified
13 Day
4218
Level of evidence A+

Silicone elastomer NaCl 0.9% citrate buffer 0.3% pH7 10 & 50 mg/ml 32°C Not specified
24 Hour
4218
Level of evidence A+


  Mentions Légales