Siste oppdatering :
03/02/2026
Antibiotika   Flucloxacillin sodium  
Injeksjon
Oppløsningsstabilitet Stabilitet i blandinger Faktorer som påvirker stabiliteten Kompatibilitet Administrasjonsmåte Referanser pdf
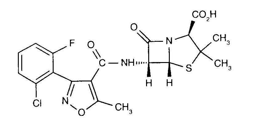
   Kjemisk struktur  

Handelsnavn   Handelsnavn     

Handelsnavn er veiledende og sammensetning av hjelpestoffer kan være forskjellig avhengig av land og produsent

Astaph Marokko
Betabiotic Italia
DBL flucloxacillin sodium Australia
Flix Tyrkia
Floxam Marokko
Floxapen Belgia, Italia, Marokko, Nederland, Polen, Portugal, Saudi-Arabia, Sveits, USA, Østerrike
Flucloxacillin Australia, Italia, Storbritannia, Tyskland
Flucloxacilline Belgia, Frankrike, Nederland
Flucloxin New Zealand
Ladropen USA
Stafoxil Nederland
Staphylex Tyskland
Oppløsningsstabilitet   Injeksjon   Oppløsningsstabilitet : Flucloxacillin sodium     
Beholder Oppløsningsmiddel Konsentrasjon Temperatur Oppbevaring Varighet av stabilitet Referanser
Glass Vann til injeksjon 5 mg/ml 2-8°C Beskyttes mot lys
7 Dag
4922
Bevisgrad D

Glass NaCl 0.9% + fenol 0.4% 5 mg/ml 2-8°C Beskyttes mot lys
7 Dag
4922
Bevisgrad D

Polyvinylklorid Natriumklorid 0,9 % 120 mg/ml 2-8°C Ikke angitt
6 Dag
3189
Bevisgrad D

Polyvinylklorid Natriumklorid 0,9 % 20 mg/ml -27°C Beskyttes mot lys
270 Dag
1349
Bevisgrad D

Polyvinylklorid Natriumklorid 0,9 % 5 & 10 & 20 mg/ml 5°C Beskyttes mot lys
21 Dag
1494
Bevisgrad D

Polyvinylklorid Glukose 5 % 20 mg/ml -27°C Beskyttes mot lys
90 Dag
1349
Bevisgrad D

Polypropylen Natriumklorid 0,9 % 10 mg/ml 2-8°C Beskyttes mot lys
14 Dag
1845
Bevisgrad B+

Polypropylen Natriumklorid 0,9 % 10 mg/ml 25°C Beskyttes mot lys
4 Dag
1845
Bevisgrad B+

Sprøyte polypropylen Vann til injeksjon 140 mg/ml 4°C-8°C Beskyttes mot lys
9 Dag
1300
Biologisk metode

Sprøyte polypropylen Vann til injeksjon 5 mg/ml 2-8°C Beskyttes mot lys
2 Dag
4922
Bevisgrad D

Sprøyte polypropylen NaCl 0.9% + fenol 0.4% 5 mg/ml 2-8°C Beskyttes mot lys
2 Dag
4922
Bevisgrad D

Polyisopren elastomer Natriumklorid 0,9 % 50 mg/ml 2-8°C Ikke angitt
6 Dag
3189
Bevisgrad D

Polyisopren elastomer NaCl 0,9% tamponsitrat 0,3% pH 7 10 & 50 mg/ml 2-8°C Ikke angitt
13 Dag
4218
Bevisgrad A +

Polyisopren elastomer NaCl 0,9% tamponsitrat 0,3% pH 7 10 & 50 mg/ml 32°C Ikke angitt
24 Tid
4218
Bevisgrad A +

Polyisopren elastomer NaCl 0,9% tamponsitrat 0,3% pH 7 5 & 60 mg/ml 2-8°C Beskyttes mot lys
6 Dag
4590
Bevisgrad A

Polyisopren elastomer NaCl 0,9% tamponsitrat 0,3% pH 7 5 & 60 mg/ml 37°C Beskyttes mot lys
24 Tid
4590
Bevisgrad A

Silikon elastomer NaCl 0,9% tamponsitrat 0,3% pH 7 10 & 50 mg/ml 2-8°C Ikke angitt
13 Dag
4218
Bevisgrad A +

Silikon elastomer NaCl 0,9% tamponsitrat 0,3% pH 7 10 & 50 mg/ml 32°C Ikke angitt
24 Tid
4218
Bevisgrad A +


  Mentions Légales