Останнє оновлення :
18/03/2026
Антибіотик   Flucloxacillin sodium  
ін'єкція
Стійкість в розчинах Стійкість сумішей Фактори, що впливають на стабільність Сумісність Шлях введення Список літератури pdf
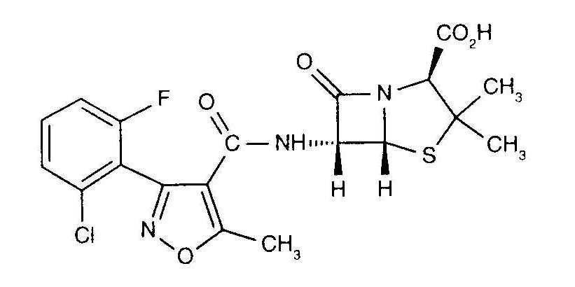
   Хімічна структура  

Торгова назва   Торгова назва     

Торгові назви є орієнтовними, а склад допоміжних речовин може бути різним залежно від країни та виробника

Astaph Марокко
Betabiotic Італія
DBL flucloxacillin sodium Австралія
Flix Туреччина
Floxam Марокко
Floxapen Італія, Австрія, Бельгія, Марокко, Нідерланди, Польща, Португалія, Саудівська Аравія, Сполучені Штати Америки, Швейцарія
Flucloxacillin Італія, Австралія, Великобританія, Німеччина
Flucloxacilline Бельгія, Нідерланди, Франція
Flucloxin Нова Зеландія
Ladropen Сполучені Штати Америки
Stafoxil Нідерланди
Staphylex Німеччина
Стійкість в розчинах   ін'єкція   Стійкість в розчинах : Flucloxacillin sodium     
Контейнер Розчинник Концентрація температура Зберігання Тривалість стабільності Список літератури
скло Вода для ін'єкцій 5 mg/ml 2-8°C Берегти від світла
7 День
4922
Рівень доказовості D

скло NaCl 0.9% + фенол 0.4% 5 mg/ml 2-8°C Берегти від світла
7 День
4922
Рівень доказовості D

Полівініл хлорид Натрію хлорид 0,9% 120 mg/ml 2-8°C Не визначено
6 День
3189
Рівень доказовості D

Полівініл хлорид Натрію хлорид 0,9% 20 mg/ml -27°C Берегти від світла
270 День
1349
Рівень доказовості D

Полівініл хлорид Натрію хлорид 0,9% 5 & 10 & 20 mg/ml 5°C Берегти від світла
21 День
1494
Рівень доказовості D

Полівініл хлорид Глюкоза 5% 20 mg/ml -27°C Берегти від світла
90 День
1349
Рівень доказовості D

Поліпропілен Натрію хлорид 0,9% 10 mg/ml 2-8°C Берегти від світла
14 День
1845
Рівень доказовості B+

Поліпропілен Натрію хлорид 0,9% 10 mg/ml 25°C Берегти від світла
4 День
1845
Рівень доказовості B+

Поліпропіленовий шприц Вода для ін'єкцій 140 mg/ml 4°C-8°C Берегти від світла
9 День
1300
Біологічний аналіз

Поліпропіленовий шприц Вода для ін'єкцій 5 mg/ml 2-8°C Берегти від світла
2 День
4922
Рівень доказовості D

Поліпропіленовий шприц NaCl 0.9% + фенол 0.4% 5 mg/ml 2-8°C Берегти від світла
2 День
4922
Рівень доказовості D

Поліізопреновий еластомер Натрію хлорид 0,9% 50 mg/ml 2-8°C Не визначено
6 День
3189
Рівень доказовості D

Поліізопреновий еластомер NaCl 0,9% цитратний буфер 0,3% pH7 10 & 50 mg/ml 2-8°C Не визначено
13 День
4218
Рівень доказовості А+

Поліізопреновий еластомер NaCl 0,9% цитратний буфер 0,3% pH7 10 & 50 mg/ml 32°C Не визначено
24 годину
4218
Рівень доказовості А+

Поліізопреновий еластомер NaCl 0,9% цитратний буфер 0,3% pH7 5 & 60 mg/ml 2-8°C Берегти від світла
6 День
4590
Рівень доказовості А

Поліізопреновий еластомер NaCl 0,9% цитратний буфер 0,3% pH7 5 & 60 mg/ml 37°C Берегти від світла
24 годину
4590
Рівень доказовості А

Силіконовий еластомер NaCl 0,9% цитратний буфер 0,3% pH7 10 & 50 mg/ml 2-8°C Не визначено
13 День
4218
Рівень доказовості А+

Силіконовий еластомер NaCl 0,9% цитратний буфер 0,3% pH7 10 & 50 mg/ml 32°C Не визначено
24 годину
4218
Рівень доказовості А+


  Mentions Légales